Hola, me podrán ayudar por favor con el siguiente ejercicio, el primero que aparece en la foto, tengo que analizar las derivadas parciales, calculando los limites. Me podán ayudar a encontrar el limite de x tiende a dos por izquierdada de (2-x)^2?
Como discutir este sistema?
x+y+z=1
ay+az=2
Podes plantearte ese mismo por gauss, por lo que vi es un sistema compatible indeterminado es decir que existe infintias soluciones que satisfacen el sistema. Pero OJO, a simple vista se puede observar eso: pero si le asignamos valores a las variables "a" entonces tenes:
si a= 0, es un sistema incompatible. S.I
si a diferente de 0 es compatible indeterminado infinitas soluciones. y vas a tener un grado de libertad.
Creo que por asi era,
espero que te sea de ayuda.
Saludos
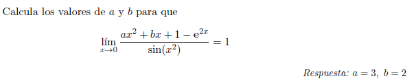
He intentado resolver este problema usando la definición del límite como en el video LIMITE aplicando la definición 01 (http://www.unicoos.com/video/2892) al final llego a :
| ax^2 + bx + 1 - e^(2x) - sen(x^2) | < ε * sen (x^2)
|x| < δ
Y ahí me quedé , no sé como seguir desarrollando ese valor absoluto para calcular a y b
Hola a todos!! Pregunta de teoría: necesito escribir que la funcion f(x)= ln (x-3) tiene que redefinirse como el módulo de (x+3), para poder definir su inversa. ¿Planteo directamente f(x) con el módulo y sigo trabajando o necesito justificar algún procedimiento para eso?

Lo siento pero la primera duda es de economia.
Y para la segunda, solo se trata de derivar dos veces sucesivamente...
Te quedará que dy/dx=y' = n.f(x)^(n-1). f'(x)... Y derivando otra vez... d²y/dx²=y' = n.(n-1).f(x)^(n-2).f'(x).f'(x) + n.f(x)^(n-1). f''(x) = n.f(x)^(n-1) [n-1). (f'(x))² + f''(x)]
Estimados Docentes; aqui les mando en archivo adjunto un problema de diagonalización que espero que me resuelvan. De antemano gracias. Estare atento a sus comentarios.
Saludos desde Curico Chile.
Boris