Aprobé. Gracias equipo y, David, nos vemos en Octubre.
Hola, necesito ayuda para resolver el limite cuando x tiene a infinito de x+sen(x) usando el metodo del sandwich. Tendria que aplicarle ese metodo a x+sen(x) o solo a x?
Buenas es la primera vez q pregunto en un foro, pero quisiera saber si me pueden ayudar con este ejercicio sobre derivabilidad, se los pasos pero me cuesta plantearlos en diferentes problemas. En este caso me pide el valor de K para que sea derivable en x=0

Te lo envío Vanny. Queda comprobado así
S= x²+4·x·z=40²+4·40·20=1600+3200= 4800 cm², que es la condición restrictiva del ejercicio. Nota: He hecho el ejercicio considerando el depósito completo sin tapadera. mañana, si Dios quiere, te lo envío aprovechando paredes y piso. Un Saludo.
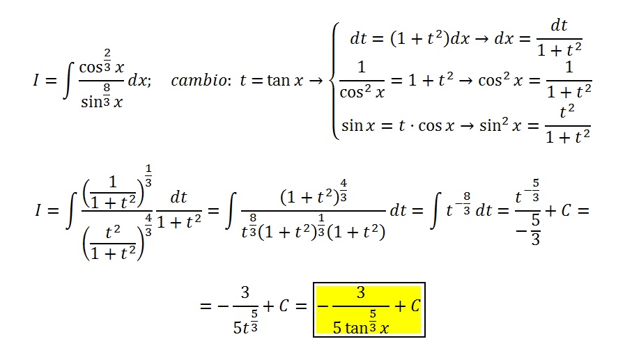
Hola de nuevos. Peter espero que estes en linea, te molesto pidiendote ayuda ahora con otra integral ∫ [(Cos x)^(2/3)/(Sen x)^(8/3)] dx= (-3/5) (Cot x) ^(5/3) +C
Perdon x solicitarte de nuevo. Cuidate. Y gracias.