Hola, buen día.
Me podrían ayudar, tengo varias integrales que resolver y en estas no puedo identificar de que tipo son, o como empezar de una manera correcta; les agradecería mucho si me ayudan

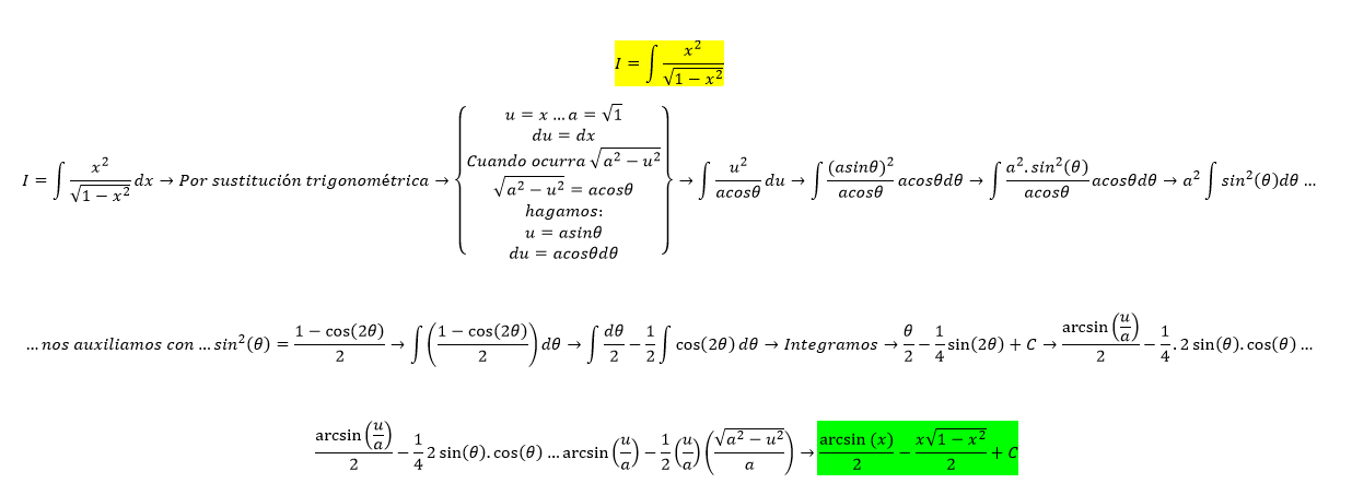
Haz cambio de variable x=sent...
Te sugiero los vídeos de integrales... Integrales trigonométricas
¿Nos cuentas despues ¿ok?
Hola, buen día.
Me podrían ayudar, tengo varias integrales que resolver y en estas no puedo identificar de que tipo son, o como empezar de una manera correcta; les agradecería mucho si me ayudan

Lizbeth, lo siento, pero está ya es la quinta o sexta integral que nos envías.. Se trata de que aportéis algo más que enunciados, que veáis las decenas de videos de integrales antes para que adquiráis base... Y se trata, despues DE IR A CLASE que enviéis dudas concretas, muy concretas. Y que nos enviéis también todo aquello que hayais conseguido hacer por vosotros mismos. Paso a paso, esté bien o mal. No solo el enunciado. De esa manera podremos saber vuestro nivel, en que podemos ayudaros, cuales son vuestros fallos.... Y el trabajo duro será el vuestro. #nosvemosenclase Nos cuentas ¿ok?
Hola, buen día.
Me podrían ayudar, tengo varias integrales que resolver y en estas no puedo identificar de que tipo son, o como empezar de una manera correcta; les agradecería mucho si me ayudan

Esta integral no puede resolverse por metodos tradicionales, al menos antes de la univeraidad. Espero entiendas que unicoos por ahora se queda en bachiller...
Por si te ayuda, te adjunto un link con la resolucion paso a paso.. http://www.wolframalpha.com/input/?i=integrate+e%5E(e%5Ex%2Bx)
Hola, buen día.
Me podrían ayudar, tengo varias integrales que resolver y en estas no puedo identificar de que tipo son, o como empezar de una manera correcta; les agradecería mucho si me ayudan