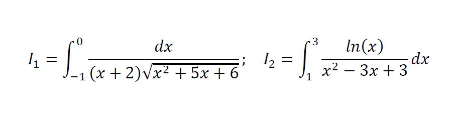
Hola, me ayudan a descubrir el error en esta secuencia? Yo supongo que está en el 4to paso, pero no sé identificar el error concreto. En conclusión, no sé qué es lo que hace para obtener (4−9⁄2)²=(5−9/2)²
La secuencia:
16−36=25−45
16−36+(9⁄2)²=25−45+(9/2)²
4²−2.4.9/2+(9/2)²=5²−2.5.9/2+(9/2)²
(4−9/2)²=(5−9/2)²
4−9/2=5−9/2
4=5
Desde ya, gracias!
Hola, buenas tardes, espero todos en este foro se encuentren bien. Quisiera que me ayudaran a despejar t de esta ecuación. De ante mano gracias y buena tarde.

Primero, por favor verifica si no falta algún dato t que indique cuál es el valor de H(t).
Igualmente, podemos despejar, y para hacer las cosas más sencillas, llamemos y a H(t):
Primero un pasaje de término y queda:
y - 20 = 30*ln(3*t + 2)
Luego, podemos mulitiplicar por 1/30 en todos los términos y queda:
y/30 - 20/30 = ln(3*t + 2)
Luego despejamos el logaritmo natural mediante su composición con su función inversa exponencial natural, y queda:
e^(y/30 - 2/3) = 3*t + 2
Luego un pasaje de término y queda:
e^(y/30 - 2/3) - 2 = 3*t
Y por último, multiplicamos por 1/3 en todos los términos, y llegamos a:
(1/3)*e^(y/30 - 2/3) - 2/3 = t
Espero haberte ayudado.
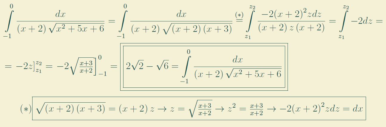
Hola de nuevo, tengo una pequeña duda con este problema que me pide la ecuacion de un plano que pasa por Po=(-4;1;2) y es paralelo a x=5. Se que el vector director de la recta tambien es un vector contenido en el plano, pero se puede decir que el vector normal a la recta es tambien un vector normal al plano? Y ya con eso haria otro punto generico P=(x,y,z). Entonces n.PoP=0 y ya saldria. Gracias!

Gracias Antonio, pero con respecto a la pregunta, entonces se puede decir que la normal de la recta es la del plano? porque me dio el mismo resultado. Agarre la normal a la recta que es (1,0) y le agrege 0 en la z para que se la normal del plano (1,0,0) y lo multiplique por el vector PoP= (x+4;y-1;z-2). Y me da x=-4
Antonio, tengo una duda con una resolucion de un ejercicio, tenia un plano y me daban 2 vectores paralelos a ese plano y lo que hiciste fue hacer producto vectorial entre ambos para encontrar el normal. Es decir yo hacia esto cuando tenia 2 vectores contenidos en el plano, entonces que me diga vectores paralelos o vectores pertenecientes al plano es lo mismo?? Gracias!
David debería crear una liga de profesores y cubrir todas las matérias (castellano, historia, matemáticas, etc.) sería legendario jajaja

Sí que estaría bien. Pero te comento: Ten en cuenta que este es un foro gratis de por vida, donde los que contestamos dudas lo hacemos por ayudar a los demás, y una gran mayoría de los que plantean preguntas no se molestan ni siquiera en valorarlas, a sabiendas de que no pueden hacer una segunda pregunta sin valorar la primera. No lo hacen ni por deferencia ni por gratitud (algunos muchos, claro). Hay por el contrario infinidad de alumnos super agradecidos que además de valorar las respuestas se preocupan de agradecerlas y además, que es muy significativo, comentan sus éxitos en los exámenes cuando le han ido bien, haciendo una referencia clara a lo aprendido en los foros en cuestión. Esto es lo que más puede motivar a los que de verdad valoran un foro tan sin igual creado al servicio de los demás. Esto es sin duda lo que más puede motivar a David y a su gran equipo.
El profesor y dueño de la página , Don David Calle se esmera a diario con vídeos, con mejoras etc, pero también le cuesta mucho dinero el sólo mantenimiento de una web de estas características. Y en razón lineal o proporcional, cuanto más asignaturas se traten más costoso es todo.
Este foro se ha creado para los cursos de secundaria y bachiller, y para las asignaturas de Matemáticas, Física y Química de esos cursos, con algunas excepciones puntuales de ciertos ejercicios universitarios. pues bien, esto lo ha repetido David y lo sigue repitiendo a diario en los foros. ¿Hace la gente lo que se le dice en beneficio de todos? Pues no, y por ejemplo el foro de física que es el que yo más frecuento está inundado de ejercicios universitarios, casi todo de nivel superior al primer curso. Muy pocos de los que pertenecen a los cursos para los que se creó dicha página.
Como únicoo y asiduo al foro de física especialmente, me gustaría hacer un llamamiento desde mi modestísimo papel de ayudar, y es que debemos por parte de todos respetar las pautas que nos marquen los que han creado y dirigen la web, pues desempeñan un trabajo tremendo y totalmente altruista con los demás, entonces ¡¡¡¡¡AUDÉMOSLOS A TRABAJAR MEJOR EN BENEFICIO DE TODOS!!!
Un saludo a todos los Únicoos.