
f(0) es el valor de la funcion cuando x es 0.... En el primer tramo (el cero forma parte de el) como f(x)=x²-1, te quedará f(0)=0²-1=-1.. Graficamente basta con que averigues el valor de y cuando x=0...
Y así con todos... Te sugiero estos vídeos.. Funciones a trozos
Para el d) es al reves, Si te piden f^-1 (0) tienes que averiguar en la gráfica el valor de x cuando y=0...
Para hacerlo analiticamente.. Composicion de funciones y Funcion Inversa
¿Lo intentas y nos cuentas despues? Abrazos!

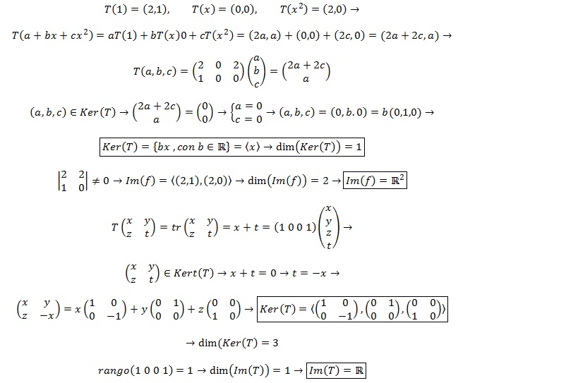
La transformacion está en función del polinomio
T(p(x))= ( p(1)+p(-1) ,p(0) )
T(1)= ( 1(1)+1(-1) ,1(0) )=(1+1,1)=(2,1) La función 1 evaluada en los puntos 1, -1 y 0
T(x)= ( x(1)+x(-1) ,x(0) )=(1-1,0)=(0,0) La función x evaluada en los puntos 1, -1 y 0
T(x^2)= ( x^2(1)+x^2(-1) ,x^2(0) )=((1)^2 +(-1)^2,0^2)=(1+1,0)=(2,0) La función x^2 evaluada en los puntos 1, -1 y 0
Hola, me ayudan por favor a resolver la siguente derivada, me equedado estancado porque no se como seguir
f(X)=x^2+1/sen x
Lo que hice fue lo escrivi como regla de la cadena del cociente: 2x.senx-(x^2+1).cosx/ (senx)^2
solo una observación, aplicar la regla de cociente esta bien pero generalmente lo que yo hago cuando me piden derivar con respecto a X (ejemplo) y observo que X solamente se encuentra en el denominador y no el numerador, estimo mas conveniente reescribir la función por ejemplo 1/x ----> x^(-1) y luego comienzo a derivar lo que me agiliza los pasos.
Me Ayudan con la siguiente diferencial? Desde ya muuuchas gracias! dy/dx= y/(e^y+2x)
Como se resuelve está ecuación trigonométrica:
(3.tg x-√3) . (sec x + 2) = 0
Muchas gracias!

Si (3*tg x-√3) *(sec x + 2) =0
Es porque 3*tg x-√3=0
o (sec x + 2)=0
De la primera
3*tg x-√3=0
3*tg x = √3
tg x= √3/3
x= π/6 + πn (siendo n entero)
De la se funda
sec x+ 2=0
sec x= -2
1/cos x = -2
cos x = -1/2
x= 2π/3 +2πn (n es entero)
o
x= -2π/3 +3πn
Entonces las soluciones son
x= π/6 + πn,
x= 2π/3 +2πn ,
x= 2π/3 +2πn, (n es entero)
Hola Unicos!!! Alguien que sepa contestarme esta duda que me surge: Si un conjunto W NO ES Subespacio Vectorial entonces NO ES necesario buscar generador S. o hay excepciones. Al parecer es lo ultimo que dije, necesito otra punto de vista. Saludos