En el ítem b del problema 163, halle la aceleración absoluta del sistema y me sale que seria -9,8 m/s^2 o sea en sentido contrario al que me da el problema. Mi pregunta es: para que el bloque
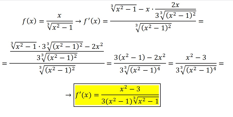
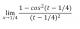
Hola Unicoos , me preguntaba como llegar de la parte que he encerrado de color rojo a la parte encerrada de color amarillo ,que pueden observar en la imagen ,me lo explican por favor.
Hola alguien me puede ayudar con este ejercicio de geometría en el espacio, lo intentado varias veces pero siempre me he quedado en función de una variable que no conozco. Ademas no tengo la respuesta, si alguien me ayuda le estaría muy agradecido. :D
Ayudemen con este ejercicio, para poder continuar haciendo algunos de esto,
Con el comienzo del curso se va a lanzar unas ofertas de material escolar. Unos almacenes quieren ofrecer 600 cuadernos, 500 carpetas y 400 bolígrafos para la oferta, empaquetándolo de dos formas distintas; en el primer bloque pondrá 2 cuadernos, 1 carpeta y 2 bolígrafos; en el segundo, pondrán 3 cuadernos, 1 carpeta y 1 bolígrafo. Los precios de cada paquete serán 6.5 y 7 €, respectivamente. ¿Cuántos paquetes le conviene poner de cada tipo para obtener el máximo beneficio?

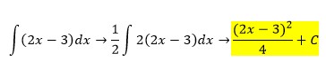
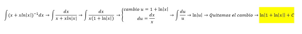
Para el primer ejercicio:
puedes plantear una sustitución (o cambio de variable):
w = 2x -3, de donde tenemos que: dw = 2dx, que a su vez nos lleva a: (1/2)*dw = dx.
Luego sustituyes en el integrando, y éste queda: (1/2)*(w^3)*dw, que al integrar nos lleva a:
(1/2)*[(w^4)/4] + C =(1/8)*(2x - 3)^4 + C.
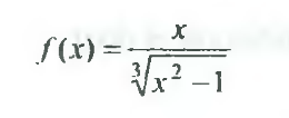
Para el segundo ejercicio, te doy una sugerencia: reescribe los términos con raíces como potencias fraccionarias, luego distribuyes, y finalmente integras: te quedan cuatro términos.
observa que el integrando puede escribirse:
[(3^1/4) * x^(3/4) - 2] * [(1/3) * x^3 - x^(1/2)] = (luego de distribuir, aplicar propiedad de producto de potencias con exponentes iguales) =
= (3^(1/4) * x^(15/4) - (3^(1/4) * x^(5/4) - (2/3) * x^3 - 2 * x^(1/2) = que ahora puedes integrar seguramente, término a término.
Espero haberte ayudado.

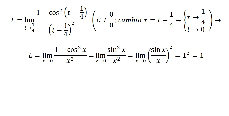
Primero, observa que el numerador de la expresión tiende a cero, y que el denominador también.
Luego, puedes aplicar la identidad trigonométrica : (sen(t - 1/4))^2 = 1 - (cos(t - 1/4))^2, y llegas a un límite trascendente que seguramente ya has visto en tus clases:
la función queda expresada:
(sen(t - 1/4))^2 / (t - 1/4)^2 = [(sen(t - 1/4) / (t - 1/4)]^2.
Luego puedes susituir:
w = t - 1/4 (observa que w tiende a 0 cuando t tiende a 1/4), y el límite queda expresado:
lím(w-->0) [senw / w]^2 = [lím(w-->0) senw / w]^2 = 1^2 = 1.
Recuerda que en clase seguramente han estudiado el límite trascendente:
lím(w-->0) senw / w = 1.
Espero haberte ayudado.