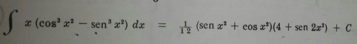
Que tal maestros unicooa denme su ayuda con una integral x favor me tiene medio loco. El 32 el q esta enceerrado en un circulo con lápiz, y gracias por su ayuda.
Att:El Toby..
Hola, me piden en este ejercicio demostrar por definición. Lo hice pero no se si lo demostre bien... Y otra cosa, ¿Podría en vez de usar δ=1 usar δ=5?

Observa que 1/|V(x+5) + 3| = 1 / (V(x + 5) + 3) <= 1/3 (quitamos el valor absoluto porque su argumento es suma de dos términos positivos, y la desigualdad amplia es válida porque:
3 <= V(x +5) +3 (observa que a la derecha tenemos el mismo término de la izquierda y le hemos agregado sumando otro término positivo);
la desigualdad amplia puede escribirse:
1*3 <= 1*(V(x +5) +3)
luego por pasaje de factores como divisores tenemos:
1 / (V(x +5) +3) <= 1/3.
Ahora vamos al segundo renglón de tu escrito:
( ... ) |x - 4| * 1 / (V(x +5) +3) <= |x - 4| * 1/3 <= épsilon
Luego despejamos en la última desigualdad amplia y llegamos a:
|x - 4| <= 3*épsilon,
por lo que llegamos a:
delta = 3*épsilon.
Espero haberte ayudado.
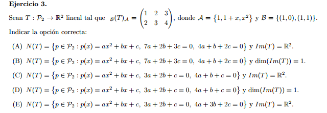
Hola amigos de unicoos, x fa pido vuestra ayuda urgente se los pido, ayudenme con la integral d la imagen x favor q alguien experto me ayude.
Mil gracias de antemano.

c) Para graficar, debes trazar las gráficas parciales de cada trazo (tramo de parábola, tramo de recta inclinada y tramo de recta horizontal), localizar cada uno de los valores a evaluar (0, 2 y 4) en el eje de abscisas, y según la ordenada del punto correspondiente, tendrás el valor de la función para cada uno de ellos.
Para evaluar, debes localizar el sector del dominio para cada valor:
0 pertenece al intervalo (-inf;0], por lo que se evalúa en la expresión del primer trazo, y f(0) = 0^2 - 1 = -1;
2 pertenece al intervalo (0;2], por lo que se evalúa en la expresión del segundo trazo, y f(2) = 2*2 - 1 = 3;
4 pertenece al intervalo (2;+inf), por lo que se evalúa en la expresión del tercer trazo, y f(4) = 3.
d) Para comenzar, debes tener en cuenta que el Dominio de la función, o más bien relación, inversa se corresponde con la imágen de la función, por lo que debemos investigar cuáles son los valores del dominio de f que corresponden en cada caso, ubicándolos en los trazos correspondientes:
para 0:
1) Investigamos si 0 corresponde al primer trazo, para eso planteamos: x^2 - 1 = 0, despejamos y nos quedan dos opciones:
x1 = -1, que si pertenece al intervalo correspondiente (-inf;0], y x2 = 1, que no pertenece al intervalo correspondiente, por lo que tenemos que en el primer inciso una respuesta sería -1;
investigamos si 0 corresponde al segundo trazo, para eso planteamos: 2x - 1 = 0, despejamos y nos queda: x = 1/2, que si pertenece al intervalo (0;2], por lo que en el primer inciso otra respuesta es 1/2 (ATENCIÓN: observemos que la función f tiene una relación inversa, que no es función);
investigamos si 0 corresponde al tercer trazo, para eso planteamos: 3 = 0, que es una identidad absurda, por lo que no existe valor de x que se encuentre en el intervalo (2;+inf).
2) Investigamos si -2 corresponde al primer trazo, para eso planteamos: x^2 - 1 = -2, despejamos y llegamos a: x = V(-1) que no es un número real, por lo que no existe valor de x que se encuentre en el intervalo (-inf;0];
investigamos si -2 corresponde al segundo trazo, para eso planteamos: 2x - 1 = -2, despejamos y nos queda: x = -1/2, que no pertenece al intervalo (0;2], por lo que no existe valor de x que se encuentre en dicho intervalo;
investigamos si -2 corresponde al tercer trazo, para eso planteamos: 3 = -2, que es una identidad absurda, por lo que no existe valor de x que se encuentre en el intervalo (2;+inf);
ATENCIÓN: vemos que la relación inversa no está definida par -2.
3) Investigamos si 3 coresponde al primer trazo, para eso planteamos: x^2 -1 = 3; despejamos y nos quedan dos opciones:
x1 = -2, que si pertenece al intervalo correspondiente (-inf;0], y x2 = 3, que no pertenece al intervalo correspondiente, por lo que tenemos que en el tercer inciso una respuesta sería -2;
investigamos si 3 corresponde al segundo trazo, para eso planteamos: 2x - 1 = 3, despejamos y nos queda: x = 2, que si pertenece al intervalo (0;2], por lo que en el tercer inciso otra respuesta es 2 (ATENCIÓN: observemos otra vvez que la función f tiene una relación inversa, que no es función);
investigamos si 3 corresponde al tercer trazo, para eso planteamos: 3 = 3, que es una identidad verdadera, por lo que todos los valore del intervalo (2;+inf) cumplen (ATENCIÓN: todos los valores reales que pertenecen al intervalo son respuesta válida, nuevamente vemos que la función f tiene una relación inversa que no es función).
Espero haberte ayudado.
Hola amiga necesito de nuevo su ayuda no entiendo el apartado b, me dice determinar analíticamente el rango de la función pero no se como hacerlo

La semirrecta y=2x (para x<-1) es de pendiente positiva. Por ello, toma valores ente -∞ y -2.
La parábola cóncava y=-x^2+3 tiene su vértice (máximo) en x=0, donde la y vale y=3
Para x=-1, y=2: Para -1
Resumiendo, Rango(f)=(-∞,3( (cerrado en 3)
Necesito que me saquen una duda... muy importante.....
Como determino si un conjunto es generador o no. en un ejercicio.
Ademas puede ser LI y LD. o hay restricciones?
graciasss.

Un conjunto de vectores G se dice GENERADOR de un subespacio vectorial cuando cualquier vector de dicho subespacio puede expresarse como combinación lineal de los vectores de G.
En un conjunto generador puede haber redundancia, esto es, puede haber vectores que dependan linealmente de otros. Cuando esto no sucede, esto es, cuando los vectores de G son linealmente independientes, entonces G es automáticamente una base (conjunto de generadores en número mínimo).