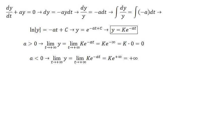
Buenas! Perdón, otra vez yo! Estoy haciendo una laaarga guia de diferenciales y me volví a estancar en la siguiente! Agradeceré sus ayudas! Saludos!

Va Gabriel...
Sustituí "t" por "x" no afecta en nada pero me gusta trabajar con las "x"
PD. Solo queda sustituir en la solución particular las condiciones iniciales para hallar el valor de C y obtener la solución particular de la EDO.
PD. Solo queda sustituir en la solución particular las condiciones iniciales para hallar el valor de C y obtener la solución particular de la EDO.">![]()
hola alguien me puede ayudar a plantear la siguiente integral múltiple :(
por favor es solo plantearla, el resto sé hacerlo. gracias

La función a integrar es x^2 +y^2+z^2=25
Es decir z=±√(25-x^2-y^2)
Por lo que puedes hacer la integral de √(25-x^2-y^2)
en la región de circunferencia de radio 1 y la multiplicas por dos (al ser una función simétrica respecto al plano z=0
Si haces eso te queda
2∫(0 a 2π)∫(0 a 1) √25-(rcosθ)^2 - (rseθ)^2) rdrdθ

A ver Rodrigo
2∫(0 a 2π)∫(0 a 1) √(25-(rcosθ)^2 - (rseθ)^2) rdrdθ
= 2∫(0 a 2π)∫(0 a 1) √(25-r^2) rdrdθ
La integral ∫√(25-r^2)r dr = -1/2 (25-r^2)^(3/2) + C (es casi inmediata)
Si la evalúas de 0 a 1 te queda ∫(0 a 1)√(25-r^2)r dr =125/3 -16√6= K
Entonces te queda ∫(0 a 2π) Kdθ =2πK
Y el volumen sería 4πΚ=4π(125/3 -16√6)≈31,0996
Hola! Podrian ayudarme con este ejercicio? Intenté hacerlo segun el video de Kramer pero cuando trato de hallar el detA llego a una ecuación cuadrática que no puedo resolver porque el discriminante me da negativo dentro de la raiz. Es mi primer ejercicio de este tipo, que hago?

Si tienes el determinante bien hecho y la ecuación cuadrática que resulta también, solo queda interpretar el resultado:
∀k∈R, det(A)≠0→rango(A)=3
Como el rango de la ampliada no puede ser, en este caso, mayorm, y hay 3 incógnitas, el sistema es compatible determinado para cualquier valor de k.
hola alguien me podria ayudar con este ejercicio, sé que es de universidad, pero necesito que alguien me corrige .
al calcular la integral doble la calculo de la siguiente manera:
hola buenas tardes, tengo una duda acerca de transformaciones lineales, cuando una TL es inyectiva? cuando es sobreyectiva? y cuando es biyectiva? en la web hay mucha informacion pero no me convencen mucho las fuentes de donde provienen..

Una aplicación es inyectiva ("one to one")cuando dos originales distintos no pueden tener la misma imagen; al considerar transformaciones lineales, esto quiere decir que, en el tránsito de un espacio a otro no se pierden dimensiones; en otras palabras, que el único vector que se convierte en cero es el vector cero: Nu(T)=(0)
Una aplicación es sobreyectiva cuando todo elemento del conjunto final es imagen de alguno del inicial. Esto es, que el conjunto final queda totalmente cubierto. Pasando a transformaciones , diremos que Im(T) es el espacio vectorial de llegada.
Si una aplicación es a la vez inyectiva y sobreyectiva se dice biyectiva. Una transformación lineal biyectiva se llama isomorfismo: dos espacios vectoriales isomorfos tienen la misma dimensión y estructuras análogas.