Me ha surgido una duda tras hacer el problema de EDOs planteado en el video "EDO 02 Ecuacion Diferencial de primer orden UNIVERSIDAD unicoos" del canal.
Tras leerme todos los comentarios sigo con la misma duda, mi duda es la siguiente:
El problema pedía resolver: y' -e^x*e^y= -1
Tras integrar obtengo lo mismo que en el vídeo:
-e^-z= x + C (puse la Constante a la derecha). Aquí comienza mi odisea, aplico Ln:
-(-z)= ln(x+C)
z=ln(x+C)
Siendo z= x+y
x+y= ln(x+C)
Despejo y obtengo:
y= ln(x+C) -x
Resultado que no coincide con el del vídeo (se colocó la C a otro lado) dando:
y= -x -ln(C-x)
Me he equivocado en algún paso? los dos resultados son correctos?
Gracias.

No puedes suponer que el triangulo es equilatero...
Si aplicas la formula de Heron para hallar el area de un triangulo de lados a,b,c.... https://es.wikipedia.org/wiki/F%C3%B3rmula_de_Her%C3%B3n
A=√[s.(s-a)(s-b)(s-c)] siendo s=(a+b+c)/2
Para un triangulo de lados (a+b)/2, (b+c)/2 y (a+c)/2, el area será A'= √[s'.(s'-(a+b)/2)(s'-(b+c)/2)(s'-(a+c)/2)] siendo s'=[(a+b)/2 + (b+c)/2 + (a+c)/2] /2 = [(2a+2b+2c)/2] /2 = (a+b+c) /2 = s
Por tanto... A'= √[s.((2s-a-b)/2)((2s-b-c)/2)((2s-a-c)/2)] = √[s.(2s-a-b)(2s-b-c)(2s-a-c)/8] ... Te dejo seguir a partir de ahí. desarrolla esa expresion y tambien la de A=√[s.(s-a)(s-b)(s-c)] para poder compararlas...
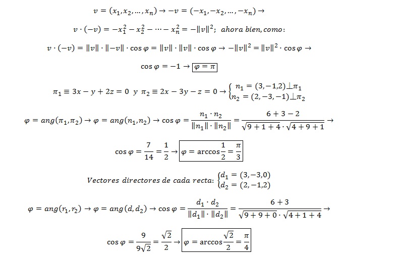
Otra consulta Unicoos!
me dan una recta y un plano .. con parámetros.. Me piden determinar el valor de 'a' y 'b' para que la recta sea paralela al plano..
para que esto se cumpla , el vector director de la recta debe ser perpedicular a la normal del plano , y un punto P cualquiera de la recta no debe pertenecer al plano.. lo desarrollé e intenté resolver.. pero al estar las incógnitas 'a' y 'b' y el punto P no pertenecer al plano, no se me ocurre la forma de encontrar sus valores. Adjunto lo hecho , muchas gracias por la ayuda!

El problema está en la obtencion del vector director de la recta... Si x=-y+1=2z-3.... (x-0)/1= (y-1)/(-1)=(z-3/2)/(1/2) de donde el vector director de la recta será r=(1,-1,1/2)...
Si la recta es paralela al plano, el vector r y el normal del plano nπ serán perpendiculares y por tanto r.nπ=0,... (1,-1,1/2).(a,-2b,1)=0.... a+2b+1/2=0....2a+4b+1=0...2a=1-4b...
No puedes hallar un unico valor de a y b, porque la ecuacion tiene infinitas soluciones...
Por ejemplo si b=0... 2a=1...a=1/2
Si b=1...2a=1-4...2a=-3...a=-3/2.
Espero te sirva... Puede ser eso lo que te pidan o ser simplemente un error del enunciado...
Unicoos me podrían ayudar con este ejercicio? No sé si está bien pensado, pero a partir de acá no sé cómo seguir.
Tengo que hallar la intersección entre las rectas y determinar la ecuación del plano que las contiene.... Gracias!

El vector director de s es el (-4,4-8) que puedes simplificar dividiendo entre -4... (1,-1,2).
La ecuacion continua de esa recta sería x/1=(y-2)/(-1)=(z+1)/2... si multiplicas en cruz puedes obtener dos ecuaciones al menos... Por ejemplo x=y-2...
Y tambien 2x=z+1
La solucion de tu ejercicio será el resultado de resolver el sistema de ecuaciones (CRAMER O GAUSS) que forman esas dos ecuaciones y las de r(z=1; 2-x=y)...
Dado que z=1, como 2x=z+1.... 2x=2.... x=1..... Y si x=1... y=1...,... Esa solucion no cumpliría la ecuacion x=y-2....
Puede ser un error en el enunciado pues no veo el fallo cometido ni por tí ni por mí....
Hola unicoos, necesito que me digan quien me puede ayudar en mis ejercicios matemáticos para la universidad ya que me respondieron que no podían explicar mis dudas y por eso necesito que me den una información o contacto de un profesor de dicha materia que pueda ayudarme, se los agradecería muchísimo, saludos, adios.
Hola claudia muchas gracias por tú interés, te cuento yo estoy cursando un pre de ingeniería, y estoy en el horno ya que me cuesta bastante los ejercicios de razonamiento, aquí te detallo uno de los ejercicios que no entiendo:
Matías se recibió de ingeniero y en su trabajo le pidieron que diseñara una rotonda lo más grande posible, para un cruce de caminos alrededor de la misma (los caminos no pasan por dentro de la rotonda). Para construirla se deben expropiar los sectores circulares de las esquinas de los terrenos. Cerca del cruce se encuentra el pozo de agua de una finca, situado a 0,07 km al este y 30 m al norte del centro del mismo. El sector a expropiar debe llegar como máximo hasta una distancia de 10 m del pozo. Matías ubica en su tablero de dibujo el centro de la rotonda en el origen de coordenadas. ¿Cuánto puede medir como máximo el diámetro de la rotonda si los caminos son de 30 m de ancho?
Buenas unicoos, para pedir su ayuda en la resolucion de un ejercicio de probabilidades distribucion de Poisson, por favor:
En el departamento de control de calidad de una empresa de textil tomo una muestra de 4metros de largo de tela y la analizaron, se encontro en ella 10 defectos. Cuantos de 100 metros de una pieza completa salida de la misma maquina se espera que no tenga defectos. ayuda por favor no encuentro la lambda