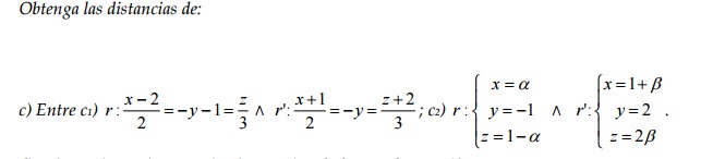
Hola Unicoos! podrían ayudarme a entender este ejercicio? es sobre distancia entre rectas...
cómo hago para darme cuenta si es en el plano o en el espacio? es correcto que primero tengo que ver su posición relativa (si son secantes, coincidentes, paralelas, o alabeadas ) ? Se agradece la ayuda!

Es en el plano si solo tienes x e y...
Es en el espacio si tienes x,y,z...
En tu caso es en el espacio.. Y para hallar la distancia:
Si son paralelas, elige un punto de una recta y halla la distancia a la otra.. Distancia de un punto a una recta en R³
Y si se cruzan... Distancia minima entre dos rectas que se cruzan
Para saber cual es su posicion relativa, estudia como son sus vectores... si un punto cualquiera de una de ellas tambien pertenece a la otra (secantes con casi total seguridad), si el sistema de ecuaciones que conforman tiene una solucion (secantes)... Nos cuentas ¿ok?...
hola buenas tengo una duda en como encontrar el conjunto generador, un conjunto d y li de un espacio vectorial, ejemplo
S=Gen[3x-2x^2, 2+x, -4+x-2x^2]
alguien seria tan amabe de explicarme lo anterior con ese ejermpo.
no entiendo el hecho de haar un conjunto generador a base de un generado. es URGENTE, necesito entender bien esto.

Echale un vistazo.... Subespacios vectoriales
A partir de ahí, teniendo en cuenta encima que tu duda es universitaria, se trata de que DESPUES DE IR A CLASE (ver los vídeos relacionados con vuestras dudas) enviéis dudas concretas, muy concretas. Y que nos enviéis también todo aquello que hayais conseguido hacer por vosotros mismos. Paso a paso, esté bien o mal. No solo el enunciado. De esa manera podremos saber vuestro nivel, en que podemos ayudaros, cuales son vuestros fallos.... Y el trabajo duro será el vuestro. #nosvemosenclase Nos cuentas ¿ok?

Te sugiero... RANGO de una matriz por determinantes 02
Y para el resto... Álgebra
Se trata de que DESPUES DE IR A CLASE (ver los vídeos relacionados con vuestras dudas) enviéis dudas concretas, muy concretas. Y que nos enviéis también todo aquello que hayais conseguido hacer por vosotros mismos. Paso a paso, esté bien o mal. No solo el enunciado, sobre todo para ejercicios tan largos como este, que encima es universitario (unicoos por ahora se queda en bachiller). De esa manera podremos saber vuestro nivel, en que podemos ayudaros, cuales son vuestros fallos.... Y el trabajo duro será el vuestro. #nosvemosenclase Nos cuentas ¿ok?