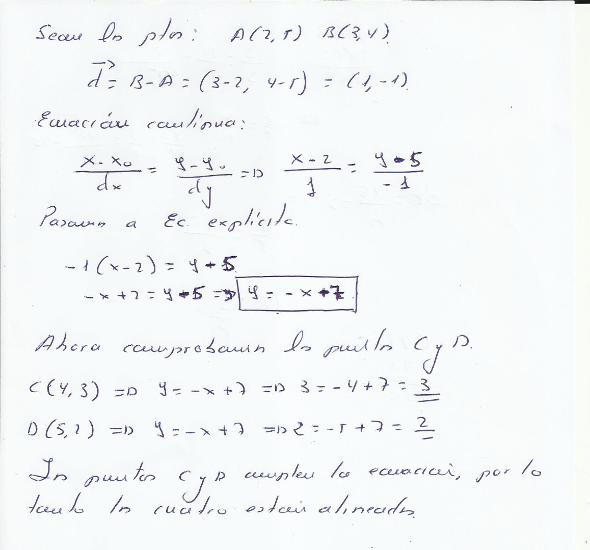
Como se halla la ecuación de una recta para 2º ESO que pase por 4 puntos:
A.(2,5) B:(3,4) C:(4,3) D:(5.2).
Por favor ayúdenme...Muchas gracias.
te respondo alejandro, para hallar la ecuacion de cualquier recta basta con sabes dos puntos (en este caso tienes 4) lo que tienes que hacer es lo siguiente:
...sabemos que la ecuacion de una recta es: Ax+B, donde A=pendiente y B=ordenada al origen
1) hallar la pendiente... para eso tendras que hacer la diferencia de y/x de dos puntos(es decir,restar dos puntos=b-a o d-c) que seria algo de esta pinta:
B-A= 4-5/3-2 = -1/1 (simplifico) =-1
2) despejar a B...ya tenemos la pendiente que es -1 asi que solo queda despejar B, para eso tenemos que tomar uno de los puntos dados...
-1X+B..... usamos al punto C:(4;3)---> -1.4+B=3 (despejamos B)---> -4+B=3.... = B=3+4 (por lo que tenemos que B=7)
ahora ya conocemos la ecuacion de la recta (f(x)=-1X+7)
3) ya teniendo la ecuacion queda verificarla, en este caso conociendo 4 puntos (A,B,C,D) podemos remplazar la X de cualquiera de ellos y si el resultado concuerda con los puntos la ecuacion es correcta.... ej:
F(X)=-1.X+7
PUNTO A: F(2)=-1.2+7=5
PUNTO C: F(4)=-1.4+7=3
ETC....
espero haberte ayudado :D

A ver Alejandro: Para hallar la ecuación de una recta sólo hacen falta dos puntos. sí para que que la recta pase por los cuatro a la vez deberán estar alineados.
Toma dos puntos cualesquiera, hallas un vector director y con uno de los puntos calcula la recta. Una vez hallada su ecuación explícita compruebas que los puntos verifiquen la ecuación de la recta que te haya salido..
Salgo ahora de viaje, por lo que no puedo hacértelo. En cuanto pueda si no te sale te lo hago. te lo envío
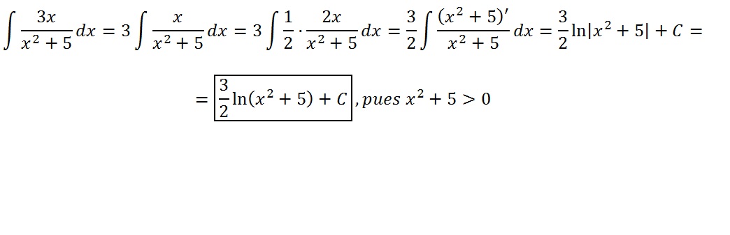
Hola tengo una duda sobre cálculo integral, mi pregunta es si puedo sacar una "e" como una constante si está multiplicando o dividiendo a toda la integral? ¿Y podría hacer lo mismo con ln y el número pi por ejemplo? ¿Por ser números reales? (la "e" sin exponente, bueno 1 se sobreentiende, ni tiene variable en el exponente ni nada, está sola).
Hola: debo resolver un problema en excel, pero para ello debo plantear una función y no sé como hacerlo.. el enunciado es el siguiente: en una cámara de refrigeración la temperatura interna (medida en grados centígrados)de dicha cámara depende de dos variables principales: 1- La tº q envía el enfriador directamente. Usualmente esta variable se comporta siguiendo una distribución de probabilidad Normal con media=1 grado y Desviación estándar = 3,5 grados.
2- la tº exterior q de manera indirecta condiciona latº interna de la cámara. Por cada grado tº exterior, disminuye el frío interno en 0,1 grados. esta variable se comporta también con Normal, con Media= 22 grados y desviación estandar =3 grados.
¿Como plantearían la función que relaciona ambas variables??