Hola, estoy realizando un ejercicio de estudio de funciones (PI, máximos relativos, etc). Debo estudiar la F(x)=12/(x^2+4). De entrada, ya la intersección con los ejes de coodenadas, me da un absurdo, ya que queda que 12=0. Esto creo que no resulta un impedimento para continuar con el ejercicio. Luego mi problema resulta al realizar la derivada primera de dicha función. Estoy en duda sobre que fórmula utilizar. Estaría bien si uso la fórmula y= u/v? Me quedaría algo como esto: (12'.(x^2+4)-(x^2+4)')/(x^2+4)^2 y por lo tanto el resultado: (-2x)/(x^4+16).
Hola Unicoos me podrían ayudar, hallé la recta para evitar la fatiga... no creen que sale más de un plano. Gracias
¿videos de estadistica no hay?

Hola David,
Tienes un par de vídeos de estadística, puedes buscar en el buscador de arriba a la derecha, donde la lupa, con palabras clave como"estadística" y te saldrán los vídeos correspondientes.
Te dejo lo que necesitas: Estadística
Buenas tardes,
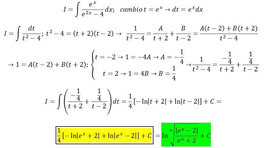
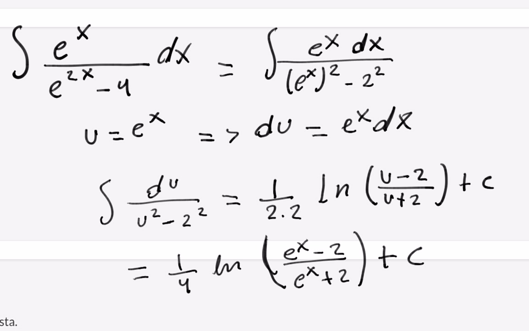
¿Me podrían ayudar a resolver esta integral?
∫[e^x/(e^2x - 4)]dx
Hola a todos! Espero me puedan ayudar, ya que no logro encontrar la respuesta.
En este ejercicio de algebra de mi universidad me piden que grafique lo siguiente.
No entiendo si son puntos, superficies, o que?
Quien me pueda ayudar se lo agradecere muchisimo! Saludos!
Hola chicos !!! Podrian decirme que significa cotas y extremos ???? Gracias !!!!!!!!!
hola como estas gabriela?
segun tengo entendido una cota es un numero "S" cualquiera perteneciente a los R (reales) de manera que si tienes un intervalo M ,( supongamos [2;7] ) S va a ser cota siempre y cuando S sea mayor o igual al num del intervalo (cota superior), por ejemplo,= 7,8,9.... para las cotas inferiores es al reves (S va a ser menor o igual que el primer numero del intervalo) ej= 2,1,0,-1,etc...
los extremos son los maximos y minimos(puntos donde la imagen es la mas grande alcanzada o la mas baja) , por ejemplo la funcion X^2 tendra minimo en 0 y no tendra maximo ya que tiende a infinito, espero haberte ayudado