buenas y disculpen mi pregunta, pero para ver si me pueden ayudar en resolver el ejercicio 3.1.1 abjunto en la imagen, para saber como se resuelven ese tipo de problemas y luego resolver los otros por favor, el tema es probabilidades, distribucion binomial
amigo corrigeme en algo en el ejerccicio 3.1.2 dice que saque la probabilidad de que al menos 1 una maquina se dañe es decir x>=1 es decir x=1, x=2, x=3 ... x=10, pero se podria sacar tambien por suceso contrario y quedaria asi 1-(x=0) ? sacame de esa duda ? no lo resuelvas por favor, solo para saber si estoy en lo correcto
Buenas, mi duda es, las hiperbolas son funciones racionales?
Muchas gracias, en mi libro las nombra solo como hiperbolas pero mirando videos y gráficas parecen iguales asi que no entiendo mucho jajaja.
Hola Unicoos,
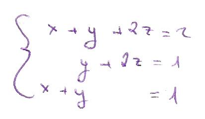
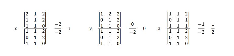
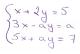
Tengo una duda. Cuando vayamos a resolver un SCD O SCI, al pasar los parámetros de la columna de los términos independientes a la columna x, por ejemplo, y si un coeficiente de x es 0 , ¿se siguen conservando el parámetros del término independiente con los que tenemos que sustituir en esa x? Os envío un ejemplo de SCI para a ver si me podeís ayudar a resolverlo.
Hola,
Si sabes que sin∝=3/5,determina el valor del lado x(hipotenusa) en el triangulo. Uno de los lados,el cateto opuesto mide 15cm.Hay que aplicar el teorema de Pitágoras despues de haber calculado la x,y expresar el resultado de manera exacta
Buenas tardes,
Me podrían ayudar a resolver este ejercicio, es que no se tengo bien los valores de a y b.
Traduzco: La función es derivable en el punto x=-1. Calcula los parámetros de a y b justificando lo que has hecho.
Para que sirve este foro?
Solo responden a los universitarios y a los de secundaria no les hacen ni caso. Eso no me parece bien.
Esto es solo una critica mía pero seguro que hay más gente que piensa lo mismo.

A ver Alejandro, no estoy de acuerdo. Precisamente, no se contestan dudas universitarias, por parte de los profesores, que no tengan que ver con vídeos grabados sobre ese tema. Además es mucho más fácil contestar dudas de secundaria.
Todas las que tengas, me las preguntas, que yo te contesto sin problemas, con que adelante con ello.
Un Saludo afectuoso, amigo.

Alejandro, este foro nos da la posibilidad de que nos enseñen y de sacarnos las dudas sin pedir nada a cambio.. Lo menos que podemos hacer es estar agradecidos,
quizás aveces se demoran un poco en responder pero hay que comprender que somos muchos y los profes aveces no pueden con todas las dudas,
Entiendo que quizás estes apurado porque tienes un parcial o un examen, solo ten un poco de paciencia si?
Un saludo!