Hola de nuevo. Temo decir que durante estos días voy a ser un poco pesado por este foro. El miércoles tengo examen trimestral de matemáticas y tengo algunas dudas sobre algunos ejercicios.
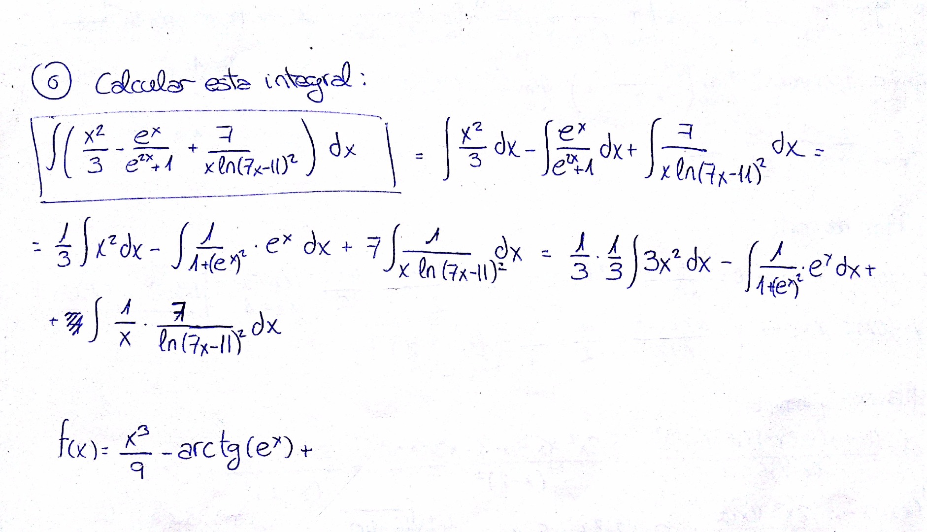
Mi pregunta de hoy es: ¿cómo resuelvo la tercera integral? Con las dos primeras no tengo problema, pero la tercera me ha dejado atrancado. Tengo la intuición de que es un logaritmo neperiano de algo, pero el 7/ln (7x+11)^2 me desconcierta. Gracias de antemano por vuestra ayuda :).
Hola :D
Estoy repasando las derivadas, y me gustaría saber si alguien tiene con soluciones para poder repasar mas
Gracias

Te vendrán bien todos los que resuelvo en los vídeos de regla de la cadena... Comprueba luego el resultado.. Derivada de una funcion 00 - Regla de la Cadena
Hola muy buenas, como todos los aquí presente, soy uno más al cual las matemáticas no se le han dado nada bien desde crío, no por culpa mía tengo que decir pero se me han dado mal
y escribo aquí ya que me han dicho que con la nueva ley las matemáticas son obligatorias el año que viene en bachiller asi que aquí os quería pedir un inmenso favor, uno de mis principales fallos esque durante 1y 2
de la E.S.O no puede dar mates por culpa del profesor, una larga historia, lo que quiero esque si alguno me puede pasar o darme todas las reglas posibles que creaís que me son necesarias, tengo idea de mates, no mucha pero me he dado cuneta que mi gran fallo son las reglas básicas y generales de las mates , las cuales no las se y no como aplicarlas, asique por favor si alguno me puede hacer ese favor estaría muy muy agradecido ya que las normas generales no me las se, no las quiero todas, solo quiero las que mas se usen para mi nivel que es 1 de bachiller y para el año que viene no es necesario decírmelas todas solo las mas usadas o las que creáis que mas vaya a usar, muchísimas gracias por la atención un saludo
este es mi correo: Juanchuu.jfpc@gmail.com
preferiría que sea por aquí la respuesta Gracias
hola buenas noches neceesito de su ayuda.
Me podrian indicar como graficar una integral doble ?
Como por ejemplo si la funcion es e^x+y