
No.. Es creciente (-∞,-2) y(0,∞)
No tiene máximo absoluto.
No tiene minimo en x=0 porque la funcion no es continua en x=0. Si no es continua, no es derivable. Y si no es derivable, no puede haber un minimo en ese punto.
La funcion es discontinua de salto finito en x=0... Es continua en todo su dominio... (-∞,0)U(0,∞)
Besos!
Hola Unicoos, escribo esto debido a la confusión de mi novia ante las matematicas. Ella no dispone de graduado escolar y esta dispuesta a sacarselo. Por ello se apunto a un curso llamado maldevita de la junta de andalucia en la que te enseñan lo basico sobre diversas asignaturas necesarias. El problema radica en las matematicas y es que ella es una persona que se lia con facilidad. No teneis un video concreto sobre numero enteros donde expliqueis con detalles las sumas, restas, multiplicaciones y divisiones con parentesis para primero de la ESO . Os rogaria que me ayudarais y si o es mucho pedir hhicierais uno o mas videos sobre lo que especifico. Perdonen las molestias y gracias por vuestra atencion.
Este seria un ejemplo de lo que quiero que expliqueis a fondo:
-2+5-3(4-5)[(-5/+4)-9]-2x(+8)
hola unicoos si me pueden ayuda con un ejercicios de probabilidades:
Los 4 grupos sanguíneos se reparten en un población según los porcentajes 0(36%), A(45%), B(13%) Y AB(6%) y suponemos que la población se ha creado por uniones aleatorias de gametos, sin selección ni mutaciones.
a) Calcular las proporción de los genes A,B y O en la población.
b)Calcular la probabilidad de que una pareja , ambos con un grupo sanguíneo A , tenga un hijo con grupo 0. Lo mismo, si sabemos que e padre de ella es O.

El apartado a) no le entiendo... La proporcion te la da el enunciado...
Para resolverlo habría que saber (y no lo sé) en que casos un niño tiene de grupo sanguineo A, cuales son las combinaciones que lo hacen posible. Y eso es más de medicina que de matematicas. siento no poder ayudarte mucho más sin ese dato...
holaa unicoss quisiera que me ayudaran por favor a,resolver o dandome estrategias para encontrar el numero que rompe el patron en una sucesion numerica como las siguientes:
10,3,6,19,41,77....
2,4,14,64,304,1564...
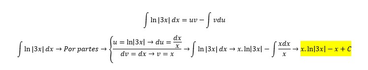
Buenas noches quisiera por favor que alguien me ayude a despejar una duda es sobre integración por fracciones parciales , en la imagen adjunta no entiendo la parte del final en la que dice "PASO" , segun el profesor en el paso 3 el dominio son los reales menos el 1 y el -2 y en el paso cuatro ya el dominio son TODOS LOS REALES , me podrían decir el por que? como hizo eso?

Hola! Me encantaría ayudarte, pero no respondo dudas universitarias que no tengan que ver específicamente con los videos que ya he grabado como excepcion. Lo siento de corazón… Espero lo entiendas
Por si te ayudan... Primer Teorema Fundamental del Cálculo 01
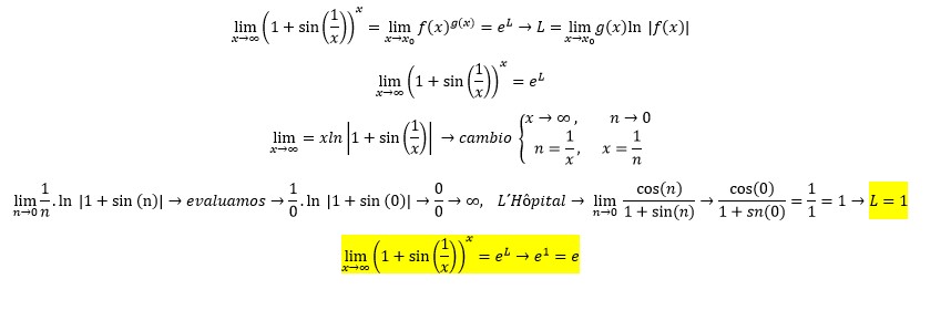
Hola, quería saber si me podrían ayudar con un límite trigonométrico, es el Límite cuando x tiende a infinito de (1+sin(1/x))^x, sé que el resultado es e (número de Euler), pero no sé como llegar a ese resultado, muchas gracias.