Foro de preguntas y respuestas de Matemáticas

logo beUnicoos
Los foros de unicoos se han unificado en nuestra nueva plataforma beUnicoos. Para dejar nuevas preguntas deberás hacerlo allí, donde además podrás encontrar nuevas asignaturas y herramientas para ayudarte más con tus estudios.

  • icon

    Alex Domínguez
    el 19/5/16

    Una pregunta de derivabilidad, al hacer la primera derivada para ver pto. crítico y crecimiento/decrecimiento, pongo la tabla con el -inf, el pto. crítico y el + inf, si hubiera algún número que eliminare el denominador de la función, habría que ponerlo ?

    replythumb_up0 voto/sflag
    icon

    kelseybenitez
    el 19/5/16

    si deberías ponerlo :)

    thumb_up0 voto/sflag
  • icon

    Dani Bianciotti
    el 18/5/16

    Hola unicoos, queria saber si logré responder bien este problema?

    replythumb_up0 voto/sflag
    icon

    David
    el 20/5/16

    PERFECTO!!!!! :D

    thumb_up0 voto/sflag
  • icon

    Paqui
    el 18/5/16

    Hola! Me piden hallar la ecuación de la recta que pasa por el punto P y se apoya en las rectas r y s; haciéndolo de dos formas diferentes me dan ecuaciones distintas (pondría los resultados pero no puedo adjuntar más de una foto) y me gustaría saber cuál es la correcta (o si los estoy resolviendo mal y las dos están mal...), así que si me dijeran la solución les estaría eternamente agradecida :)
    PD: por si acaso dé lugar a confusión, lo que recuadré no es una de las soluciones a las que llego, sino que luego continuaba por detrás :)

    replythumb_up0 voto/sflag
    icon

    Alex Domínguez
    el 19/5/16

    No logro ver lo que hiciste pero mira, el punto P te lo dan, ya tienes el punto de la recta, y necesitas que pase entre las rectas R y S, haces el vector de las retas R y S y ya pasa por las dos y le añades el punto P
    Espero que te ayude

    thumb_up1 voto/sflag
    icon

    Paqui
    el 19/5/16

    Muchaas gracias por contestar! Sí, esa es una de las formas en la que lo hago pero luego al hacerlo como mi profesor lo hace me da otra ecuación diferente y encima ninguna de las dos me coincide con la solución que se propone...Igualmente, muchísimas gracias!! ;))

    thumb_up0 voto/sflag
  • icon

    renato
    el 18/5/16
    flagflag

    Ayudarme con este problema de moviles :RM

    replythumb_up0 voto/sflag
    icon

    Roger
    el 19/5/16

    Revisa los cálculos.

    thumb_up1 voto/sflag
  • icon

    Miguel Lantigua Rodríguez
    el 18/5/16

    Buenas noches Unicoos,
    Alguien podría ayudarme resolviendo esta integral?

    ∫2x⁄1+x^4 dx

    Muchas Gracias!
    Saludos desde Canarias.

    replythumb_up0 voto/sflag
    icon

    Alex Domínguez
    el 18/5/16

    Separalas e integralas individualmente ya que son inmediatas, la primera 2x ya que entre 1 queda igual y la segunda x^4, lo integral por lo de x^n+1/n+1, espero que te ayude

    thumb_up0 voto/sflag
    icon

    Hugo
    el 18/5/16

    x^4 = (x²)²

    ∫ 2x dx / ( 1 + (x²)²) = arctg(x²) + C

    thumb_up1 voto/sflag
  • icon

    Alex Domínguez
    el 18/5/16

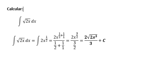
    como sería ∫√2x ?

    replythumb_up0 voto/sflag
    icon

    kelseybenitez
    el 19/5/16

    checa este video Integrales inmediatas 01

    thumb_up0 voto/sflag
    icon

    Francisco Gutiérrez Mora
    el 19/5/16

    Te la envío, Alex. Un Saludo.

    thumb_up0 voto/sflag
  • icon

    Natalia Miranda
    el 18/5/16

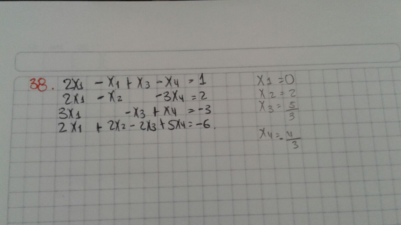
    Hola, me podrían colaborar con este ejercicio, Mil Gracias

    replythumb_up0 voto/sflag
    icon

    pablo
    el 19/5/16

    Si esta bien, Te recomiendo la pag matrixcalc para verificar esos ejercicios.

    thumb_up0 voto/sflag
  • icon

    Matias
    el 18/5/16

    Hola unicoos, me corregen estos ejercicios? tengo dudas mas que nada con el b), creo que no lo hice bien... Gracias!

    replythumb_up0 voto/sflag
    icon

    Antonius Benedictus
    el 18/5/16

    Para el b) hay una fórmula explícita:

    a_n= n^2 -1

    thumb_up0 voto/sflag
    icon

    Matias
    el 18/5/16

    Gracias Antonio! Y creo que en el b) para hacerlo de forma recursiva tendria que haber puesto n>1 y a1=0

    thumb_up0 voto/sflag
  • icon

    Alex Domínguez
    el 18/5/16

    Sabéis como sería el 1 ?

    replythumb_up0 voto/sflag
    icon

    Antonius Benedictus
    el 18/5/16

    Así, Alex:

    thumb_up0 voto/sflag
    icon

    Alex Domínguez
    el 18/5/16

    Porque sería ±∞ ?

    thumb_up0 voto/sflag
    icon

    Antonius Benedictus
    el 18/5/16

    Porque el numerador es no nulo y el denominador es un infinitésimo (sin especificar si es por la derecha o por la izquierda).

    thumb_up0 voto/sflag
    icon

    Alex Domínguez
    el 18/5/16

    Valee, mil gracias

    thumb_up0 voto/sflag
  • icon

    Addi Trejo
    el 18/5/16

    Hola que tal, me podrían ayudar respondiendo esto y cual es el método mas simple, por favor. lo agradeceré mucho. la verdad es que estoy perdido en fracciones parciales, ojala me puedan ayudar.

    replythumb_up0 voto/sflag
    icon

    Julián
    el 18/5/16

    ¿Fracciones parciales?
    Esa integral es inmediata por arcotangente.
    Recuerda que x^6 = (x^3)^2

    thumb_up1 voto/sflag