Alguien me podría ayudar a resolver esta Fracción parcial y decirme el método por favor.
lo agradeceré mucho

Primero debes resolver la ecuacion 1+x^5=0, para poder facgtorizar el denominador..
Te dejo un link.. http://www.wolframalpha.com/widgets/view.jsp?id=148b5e39237cc2678c3cab6b524c3484
A partir de ahí, es una integral racional estandar... Integral racional en fracciones simples 01
Echale un vistazo y nos cuentas ¿ok?
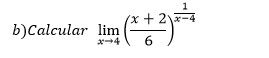
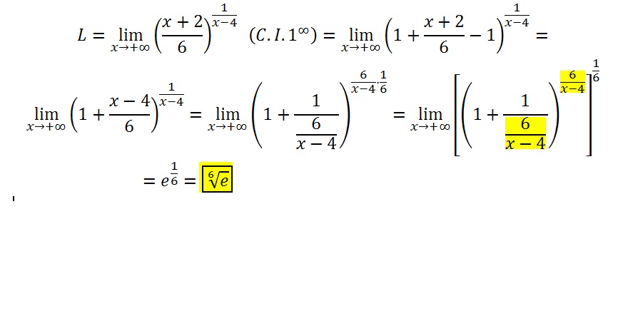
Hola unicoos, tengo una pregunta de limites logarítmicos, yo tengo un limite de x cuando tiende a infinito de un función elevada a otra, tras aplicar los ln, cuando termine en vez de despejar y'. , puedo elevar a e el resultado ?
Hola tengo una duda con este problema, se que es sencillo pero no consigo plantearlo. Gracias de antemano.
Planteamiento de ecuaciones:
Ana y Luisa tienen en total 40 €, pero Luisa tiene 10 € más que su amiga ¿Cuánto dinero tiene cada una?
He visto el vídeo de limite infinito entre infinito de bachiller pero no me ha quedado claro como se haría un límite como por ejemplo este: 3x²+2x-1 / x-2-6x² cuando x tiende a infinito. Perdón por escribir el ejercicio así pero es la primera vez que entro en la página y no se muy bien como funciona. Gracias.