por favor aayuda! por mas que intento entender la formula para calcular la mediana no me da ..
peso: 118-126, 127-135, 136-144, 145-153, 154-162
frecuencia: 3, 5, 9 , 12 , 5
no se que formula o como se resolveria x favor audenme unicoos!
Saludos cordiales, ante todo pido disculpa por la molestias, pero en verdad vengo a mendigar un poco de conocimiento para resolver el siguiente enunciado, encuentre el volumen de una pirámide de altura h y base en forma de triángulo equilátero con lado "a" (tetraedro). Utilizando secciones transversales. El tema pertenece a aplicaciones de la integral definida.
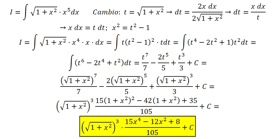
No se como arrancar con la solución, he probado de 2 maneras pero la y' sumando me complica la vida, se agradece la ayuda
y''+y' = x*cos(x)
Me he quedado sorprendido de que me hayas respondido tu, para mi eres como el profe famoso de España que sale por Youtube, esperaba que algún otro estudiante se animara a jugar con las ecuaciones diferenciales, no conocía la dinámica pero ahora que me lo has dicho, todo aclarado, desde ya, si algún día pasas por Córdoba Argentina, ya sabes, mi casa y mi familia te abren las puertas y en la mesa un asado y un vino malbec bien Argentinos te estarán esperando, un gran abrazo y gracias por lo que haces, ayudas a mucha gente y la ayudas a progresar
Buenas, necesito ayuda para resolver este problema:
Lanzamos tres dados y anotamos la moda. Calcula la probabilidad de que sea 5.
Me lo han dictado así.
El problema original es con la puntuación mediana y es del libro de matemáticas de 4ºESO opción B de Anaya. (pág 223 ej 37)

De las 216 posibilidades diferentes cuando lanzas 3 dados, la moda será 5 cuando salga un 5 más de una vez...
Esto ocurre para todas estas combinaciones 551,552,553,554,555,556..
Y también cuando salga un solo 5, pero no haya ningun numero que se repita.. Por ejemplo, en la combinacion 151, la moda es 1...
Pero en la combinacion 125 la moda es 1, la moda es 2 y la moda es 5.. (3 modas diferentes pues todos se repiten por igual). Y esas opciones sí serían validas...
Te toca por tanto averiguar cuantas de esas 216 combinaciones tienen un solo 5. Los otros dos numeros serían el 1,2,3,4 o 6 pues solo puede haber un 5, el 5 ya no puede volver a salir.
Asumiendo que el 5 sale en primer lugar, las diferentes posibilidades serán variaciones sin repeticion de 5 elementos ) tomados de 2 en 2... V5,2=5.4=20... Echale un vistazo.. Combinatoria 05 - Variaciones sin repeticion Por ejemplo el 512,521,513,531...
Per esas serían solo las diferentes posibilidades que empiezan por 5.. Habría otras 20 con el 5 en segundo lugar (el 152,251,351,153...) y otras 20 con el 5 en tercer lugar...
en total, por tanto 20+20+20+6=66... La probabilidad será por tanto 66/216