Foro de preguntas y respuestas de Matemáticas

logo beUnicoos
Los foros de unicoos se han unificado en nuestra nueva plataforma beUnicoos. Para dejar nuevas preguntas deberás hacerlo allí, donde además podrás encontrar nuevas asignaturas y herramientas para ayudarte más con tus estudios.

  • icon

    Jhonny
    el 18/5/16

    Hola, buen día, me podéis ayudar con este limite? No me permiten usar L'Hopital para ello, abrá otra forma de resolverlo?
    Saludos y gracias

    replythumb_up0 voto/sflag
    icon

    Javier
    el 18/5/16

    Me da que no se puede resolver o no existe límite.

    tan(+-∞) = no existe, es una función periódica.
    Un saludo.

    thumb_up0 voto/sflag
  • icon

    Deidara Stick.
    el 18/5/16

    Hola unicos me pueden ayudar encontrando todas las rectas tangentes posibles en x=4, de y²=2x . No doy con la otra recta, no se si no he aplicado un paso clave. Les pido ayuda aquí ahora xq son problemas q casi no logro atinar a la respuesta, ante de suerte este tema lo co prendo un poco mejor aue límites, pero me encuentro con dicha sinuosidad en este problema. Gracias de antemano amigos.

    replythumb_up0 voto/sflag
    icon

    César
    el 18/5/16

    Va asi Deidara

    thumb_up0 voto/sflag
  • icon

    Karla Aguilar
    el 18/5/16

    Hola, buenas noches o buen día. Mi amiga tiene un problema de calculo pero ninguna de nosotras le entendemos muy muy bien :$ Ayuda? por fi:( #UNICOOS (*ubicada)

    replythumb_up0 voto/sflag
    icon

    César
    el 18/5/16

    VA Karla debes derivar la funcion para hallar sus extremos

    thumb_up0 voto/sflag
  • icon

    KIMEUNWOOK
    el 18/5/16

    UxV ES COMBINACION LINEAL DE U Y V?

    replythumb_up0 voto/sflag
    icon

    Coté
    el 18/5/16

    Angélica, el producto vectorial de dos vectores no nulos es otro vector perpendicular a los vectores dados, por lo que no puede ser combinación lineal de ellos

    thumb_up1 voto/sflag
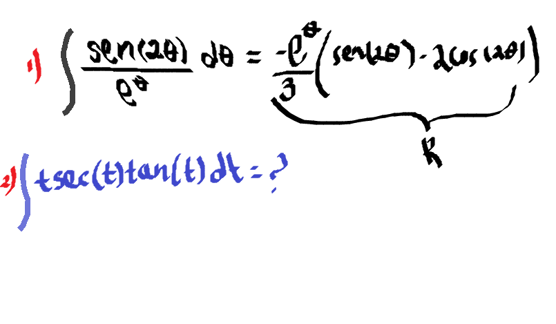
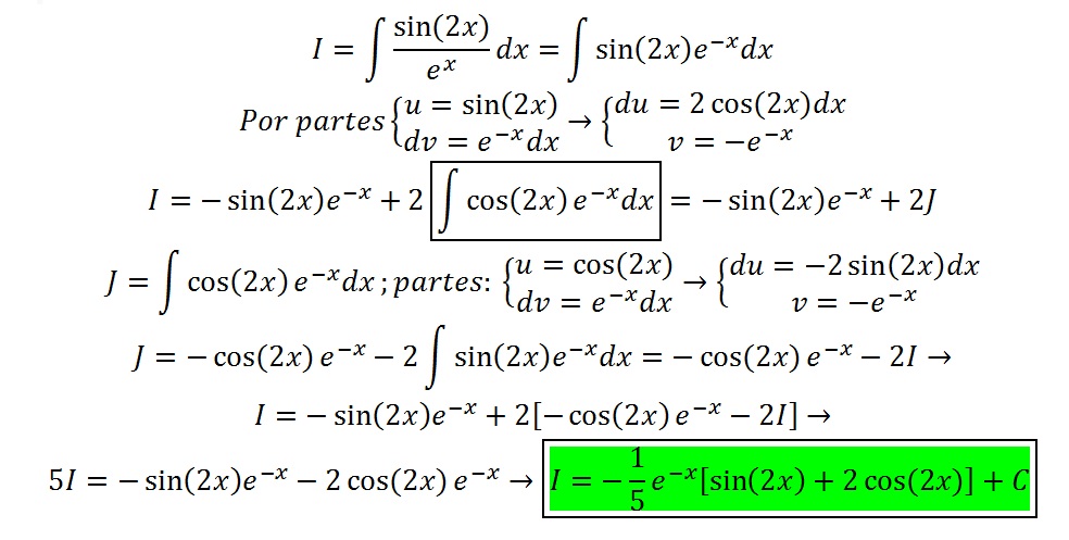
  • Usuario eliminado
    el 18/5/16

    me puden ayudar con esas integrales son por partes
    pues en la primera no se si esa es la respuesta

    replythumb_up0 voto/sflag
    icon

    Antonius Benedictus
    el 18/5/16

    Te va una, Ale:

    thumb_up0 voto/sflag
  • icon

    Joe Valachi
    el 18/5/16

    hola, tengo la funcion |x-3|/x y no se como hallar la monotonia y puntos de inflexion cuando tengo la primer y segunda derivada, me da distinto a lo que se ve cuando lo grafico me podrian ayudar?

    replythumb_up0 voto/sflag
    icon

    César
    el 18/5/16

    Claramente se ve que en x=0 existe unas asíntota vertical .
    entre -∞ si x>3 (x+3)/3
    sigues tú ?

    thumb_up0 voto/sflag
    icon

    Joe Valachi
    el 19/5/16

    mi duda en concreto es que gráficamente se ve que tengo un punto de critico no derivable en (3;0) pero cuando saco la primer derivada e igualo a cero para buscar los puntos criticos obtengo 3=0, que quiere decir eso?

    thumb_up0 voto/sflag
  • icon

    Patricio Morales
    el 18/5/16

    Amigos de unicoos junto con agradecer la ayuda brindada anteriormente les dejo un ejercicio que me esta haciendo quebrar la cabeza
    nuevamente no se como operar con letras. concretamete la letra t . Vi el video de operaciones con 4 incognitas y si bien se acerca a la solucion no se como tratar la letra t.

    espero su ayuda y de antemano les doy las gracias.

    replythumb_up0 voto/sflag
    icon

    Antonius Benedictus
    el 18/5/16

    Te ayudamos, Patricio:

    thumb_up0 voto/sflag
  • icon

    andres
    el 18/5/16

    Hola, alguien me podría dar una manito con este ejercicio de subespacios ? porque el s2 no es un sub espacio y el s3 si?

    replythumb_up0 voto/sflag
    icon

    Antonius Benedictus
    el 18/5/16

    Va la manita, Andrés:

    thumb_up0 voto/sflag
  • icon

    KIMEUNWOOK
    el 18/5/16

    si \\u\\=2\\v\\ y, u y v son vectores no nulos, entonces
    a)(u+2v)perpendicualar a (u+v)
    b)u paralelo a v
    c)(u+v) perpendicular a (u-v)
    d) falta informacion
    e) ninguna de las anteriores

    AYUDA POR FA ES ALGEBRA LINEAL

    replythumb_up0 voto/sflag
    icon

    Antonius Benedictus
    el 18/5/16

    Ya, ya, Angélica:

    thumb_up0 voto/sflag
  • icon

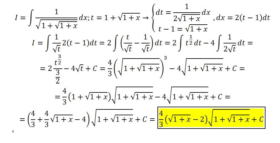
    Mila Alvarado
    el 18/5/16

    me pueden ayudar con esta integral :c

    replythumb_up0 voto/sflag
    icon

    KIMEUNWOOK
    el 18/5/16

    es trigonometrica has el reemplazo segun las reglas para cuando es 1+x que creo que es tan◘

    thumb_up0 voto/sflag
    icon

    Mila Alvarado
    el 18/5/16

    tengo que hacerla con metodo de sustitucion

    thumb_up0 voto/sflag
    icon

    Antonius Benedictus
    el 18/5/16

    Va, Mila:

    thumb_up0 voto/sflag