Una pregunta!! sencilla pero no se me viene :s . . . . es sobre ondas!! si tengo que una cuerda produce ondas de amplitud "A" cual seria la longitud de la cuerda??

la longitud de la onda vendría dada por y (en metros S.I), cuya ecuación es y=A*sen[2π(t/T+x/λ)+φ.] Donde t es el tiempo/instante en segundos, T es el periodo o ciclo en segundos, x es la posición de la cuerda, λ es la longitud de la onda, en metros y φ. la fase inicial del movimiento
Me pueden ayudar con esta hipotesis de un ejercicio de Ensayo de Hipótesis? Yo tome la hipotesis así:
Ho : μ=35 se toma buen tiempo en contestar.
H1: µ>35 se toma mucho tiempo en contestar.
Quiero saber si la hipótesis alternativa esta bien así o acaso debería tomarla como menor a 35?.
Hola que tal, como puedo resolverla
encontrar la ecuación de la circunferencia de radio 3 cm y que es tangente a la recta y = 2x-1 en el punto p(0,-1)

no sé en que forma te piden la ecuación... de forma genérica Valentina, suele definirse por x²+y²=9². Te adjunté la imagen, por lo demás, creo que va por ahí el ejercicio.
Aunque se me olvidó ponerlo, y²=(r²-x²)=(9-4)=5; comprobamos que con x²+y²=r², siendo x²=4 e y²=5 verifica la ecuación.
Buenas tardes unicoos, alguien podr+ia ayudarme con éste ejercicio?
hallar el límite (si se puede) e la siguiente sucesión: 8n/√(n^2 - 3)
GRACIAS!

Sí, claro que se puede... suponiendo que te pidan el limite en el infinito, claro... El resultado sería 8...
Echales un vistazo.. Límite infinito / infinito
Hola unicoos me podrían ayudar con este ejercicio de geometría?? Yo trate de hacerlo pero no me sale, les agradezco. En la segunda foto subí como realice la construcción.
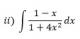
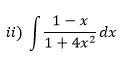
Al hallar la primitiva de una función me da -2arctanh (x). En el siguiente apartado, me piden que halle k para que el área de la función en el intervalo (2,k) sea ln2. No sé cómo se trabaja con la arctanh ya que no sé en un principio qué es la arctanh. Gracias.