Necesito ayuda para estos dos ejercicios:
1. Dadas las rectas r: {x + y = 4; y + z = 5} y s: (x - 1) / 1 = (y + 1) / (-1) = z / 3 comprueba que se cruzan y calcula la distancia entre ellas y la ecuación de la perpendicular común.
¿Cómo se hace la ecuación de la perpendicular común?
2. Halla un punto de la recta s: x = -y = z tal que su distancia a r: {x + y = 0; z = 3} sea igual a 1 unidad.
¿Cómo lo hago?
Gracias de antemano ;).
Hola! En este ejercicio se pide hallar la ecuación del plano que contiene a la recta r y es paralelo a s. Lo que yo he hecho es esto pero luego ya no sé cómo continuar... Agradecería cualquier sugerencia :)
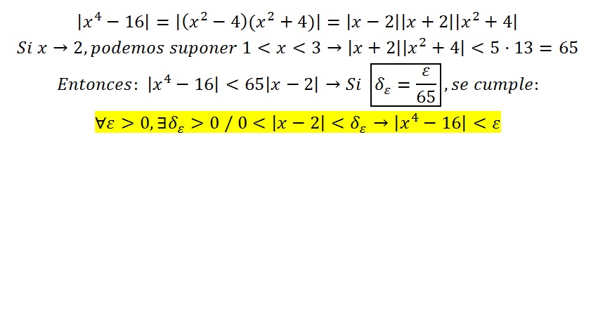
Hola como están?? Alguien me podría ayudar con este ejercicio(el primero) ? Lo estuve pensando y no tengo idea de como empezarlo. Les estaría muy agradecida.
Muchas gracias.
Saludos .
:)

En principio está bien pero cabe decir que el ejercicio está mal redactado ya que cuando un límite que tiende a infinito se aproxima a un número, es decir, una asíntota horizontal, para que exista lo que en principio aparece escrito en el ejercicio: lim (x->∞) =5, tienen que existir los LÍMITES LATERALES en esa asíntota; en otras palabras, tal y como está escrito debería existir estos límites y tan sólo existe en el dibujo el lim (x->∞)=5 por debajo y por ende, ya que no existe el límite por encima de la asíntota (y=5) NO PODEMOS ESCRIBIR BAJO NINGÚN CONCEPTO ∃lim(x->∞)=5.
Buenas, quien me pueda ayudar con este problema se lo agradecería mucho, gracias ;)
Tenemos en un banco 10.000 €. Una parte del dinero está en una cuenta en la que dan un interés
del 9% anual. El resto está en otra cuenta al 11% anual. Calcule esas dos cantidades sabiendo que
los intereses son de 1.040 €.

Echale un vistazo... Interes Simple y Compuesto
A partir de ahí, se trata de que DESPUES DE IR A CLASE (ver los vídeos relacionados con vuestras dudas) enviéis dudas concretas, muy concretas. Y que nos enviéis también todo aquello que hayais conseguido hacer por vosotros mismos. Paso a paso, esté bien o mal. No solo el enunciado. De esa manera podremos saber vuestro nivel, en que podemos ayudaros, cuales son vuestros fallos.... Y el trabajo duro será el vuestro. #nosvemosenclase Nos cuentas ¿ok?
Tienes que empezar a escalonar la matriz, te conviene hacer uno el primer elemento de la fila uno a+1, multiplicando por 1/a +1 y aclarando que a+1es distinto de cero. Luego, con ese uno haces ceros los de abajo.
Una vez que los tengas escalonados, multiplicas los elementos de diagonal principal
Si llegas a tener un ejercicio asi, pero de sistemas de ecuaciones te conviene escarlonar la mat ríz, y luego aplicar el teorema de Roche-Frobenius, el cual mira los rangos de la matriz
Después de acabar primero de bachillerato (científico) me siento en deuda de agradecer a todo el foro de Unicoos y especialmente a David toda la ayuda que ha supuesto seguir esta página desde el principio de curso, tanto para física, química y mate. Volveré en septiembre sin duda. Muchas gracias de corazón.
Hola Buenos días!!. Me podrán guiar por favor en la resolución de el ejercicio 12 y 13( creo que en este es por Bolzano) de continuidad,la consigna es enunciar el terorema
Hola! Estoy haciendo un ejercicio de física pero no entiendo la deducción de la ecuación de esta grafica.
Ec= 3,72 +(7,86-3,72/3-2) * [(f/10^15) -2] eV
Si me pudierais ayudar y explicarme de donde sale [(f/10^15) -2] me hariais un favor. Gracias!!!!!!!!