Foro de preguntas y respuestas de Matemáticas

logo beUnicoos
Los foros de unicoos se han unificado en nuestra nueva plataforma beUnicoos. Para dejar nuevas preguntas deberás hacerlo allí, donde además podrás encontrar nuevas asignaturas y herramientas para ayudarte más con tus estudios.

  • icon

    Alex Domínguez
    el 11/5/16

    Hola, me podríais explicar el paso de ese -2t dt a 2-(2/1-t) solo ? no consigo entenderlo, gracias
    La función original es ∫ (e^x)/1-√e^x), muchas gracias

    replythumb_up0 voto/sflag
    icon

    Alex Domínguez
    el 11/5/16

    Sinceramente, unas bases muy flojas :/ , muchas gracias amigo

    thumb_up0 voto/sflag
    icon

    Antonius Benedictus
    el 11/5/16

    2t entre -t cabe a -2 (cociente entero). El resto sale 2.
    Por la regla de:
    D/d =c +(r/d)
    Dividendo entre divisor es igual a cociente entero más resto partido por divisor.
    ¡Dios mío! ¿qué os enseñan en la ESO?

    thumb_up1 voto/sflag
  • icon

    Gaussiano
    el 11/5/16

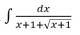
    Hoola! ¿Cómo se haría esta integral? Gracias

    replythumb_up0 voto/sflag
    icon

    Antonius Benedictus
    el 11/5/16

    Cambio t=√(x+1)

    thumb_up2 voto/sflag
  • icon

    Cecilia Arce
    el 11/5/16
    flagflag

    Relaciones de equivalencia?? necesito saber como hacer las demostraciones de transitividad, simetría y reflexiva por favor...

    replythumb_up0 voto/sflag
    icon

    Antonius Benedictus
    el 11/5/16

    ¿En general...?
    Plantea un caso y veremos...

    thumb_up0 voto/sflag
  • icon

    Jose
    el 11/5/16

    1/(x-1)+1/(x-2) Esa función según wolfram,geogebra etc tiene recorrido Todos Los Reales, pero yo al resolverla me sale como inversa (3x+2 +/- raíz(x^2+4))/2x y en ella se vé que se indetermina cuando x vale 0. Me equivoqué en algún paso o algo así??
    Gracias c:

    replythumb_up0 voto/sflag
    icon

    Antonius Benedictus
    el 11/5/16

    Sin embargo, si haces el límite (x→0) de (3x+2-raíz(x^2+4))/2x te va a salir 3/2.
    Y es que f(3/2)=0.

    thumb_up0 voto/sflag
    icon

    Jose
    el 11/5/16

    Hola, Gracias por la respuesta :) por ahora no sé sacar límite,no existe otra forma?, Gracias :)

    thumb_up0 voto/sflag
    icon

    Antonius Benedictus
    el 11/5/16

    Multplica y divide por la expresión conjugada. Opera el numerador, simplifica la x y ya está.

    thumb_up0 voto/sflag
  • icon

    John
    el 11/5/16

    Una pregunta,Hay alguna funcion que se caracterize por ser simetrica respecto al eje x?

    replythumb_up0 voto/sflag
    icon

    Antonius Benedictus
    el 11/5/16

    No se trataría de una función. Para una función la imagen de un valor x ha de ser única.

    thumb_up0 voto/sflag
  • icon

    Alex Domínguez
    el 11/5/16

    como se hace ∫cos^3x / sen^2x dx ? Gracias !

    replythumb_up0 voto/sflag
    icon

    Antonius Benedictus
    el 11/5/16

    Cambio de variable t=sin x→dt=cosx·dx
    Te va a quedar:
    ∫(1-t^2)/t^2 dt


    thumb_up0 voto/sflag
    icon

    Alex Domínguez
    el 11/5/16

    de donde sale el 1-t^2 ? Gracias

    thumb_up0 voto/sflag
    icon

    Antonius Benedictus
    el 11/5/16

    cos^2x=1-sin^2x

    thumb_up0 voto/sflag
    icon

    Alex Domínguez
    el 11/5/16

    está elevado a 3 el coseno de arriba

    thumb_up0 voto/sflag
    icon

    Antonius Benedictus
    el 11/5/16

    Pero el factor cosx se lo lleva la diferencial

    thumb_up0 voto/sflag
    icon

    Alex Domínguez
    el 11/5/16

    ahh vale , ahora si, muchas gracias !

    thumb_up0 voto/sflag
  • icon

    Alex Domínguez
    el 11/5/16

    Una duda tonta de integrales, si tengo por ejemplo cosx ∫-senx, el signo - del senx sale hacia fuera, es decir, me queda cosx+cosx ?

    replythumb_up0 voto/sflag
    icon

    Alba
    el 11/5/16

    Si, ya que ∫-1(senx), y las constantes multiplicando se pueden sacar de la integral por lo tanto, -1 ∫senx=-cosx

    thumb_up0 voto/sflag
    icon

    Alex Domínguez
    el 11/5/16

    Muchas Gracias !

    thumb_up0 voto/sflag
  • icon

    Sirio120
    el 11/5/16

    Hola, por favor alguien puede decirme como hacer este ejercicio? Gracias.

    replythumb_up0 voto/sflag
    icon

    Sirio120
    el 11/5/16

    Gracias, es que yo lo he hecho así pero no me daba 100... me podéis decir dónde está el error?

    thumb_up0 voto/sflag
    icon

    Antonius Benedictus
    el 11/5/16

    Paso 3.Al meter 10 dentro del logaritmo, queda como factor, no como divisor. Otra cosa: x=0 NO VALE.

    thumb_up1 voto/sflag
    icon

    Sirio120
    el 11/5/16

    Ok muchas gracias :)

    thumb_up0 voto/sflag