Foro de preguntas y respuestas de Matemáticas

logo beUnicoos
Los foros de unicoos se han unificado en nuestra nueva plataforma beUnicoos. Para dejar nuevas preguntas deberás hacerlo allí, donde además podrás encontrar nuevas asignaturas y herramientas para ayudarte más con tus estudios.

  • icon

    samah
    el 11/5/16

    alguien me puede corregir este ejercicio porfavor :)

    replythumb_up1 voto/sflag
    icon

    David
    el 13/5/16

    :D LO HAS CLAVAO!!!!!!!! Además está precioso, muy limpio y ordenado! ENHORABUENA!! :D

    thumb_up0 voto/sflag
  • icon

    Marta
    el 11/5/16

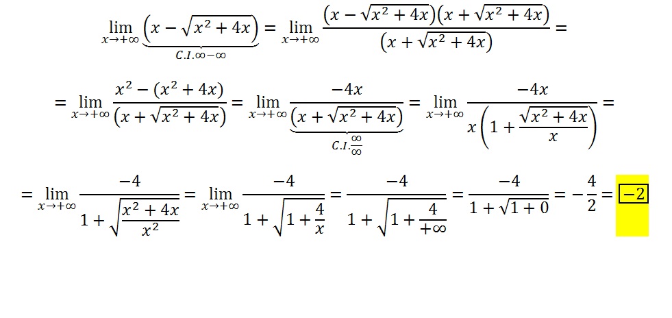
    Hola! Sabéis cuánto da este límite? Se resuelve por el conjugado? Lo he hecho así, pero no sé si va bien y me gustaría comprobarlo... :)

    replythumb_up0 voto/sflag
    icon

    Javier
    el 11/5/16

    Indeterminación ∞-∞ con raíces -> Efectivamente, multiplicar y dividir por el conjugado de la raíz.

    thumb_up1 voto/sflag
    icon

    Antonius Benedictus
    el 11/5/16

    Va, Marta:

    thumb_up2 voto/sflag
    icon

    Marta
    el 11/5/16

    Muchas gracias, estaba perfecto

    thumb_up0 voto/sflag
  • icon

    Guillem Sanz Liarte
    el 11/5/16

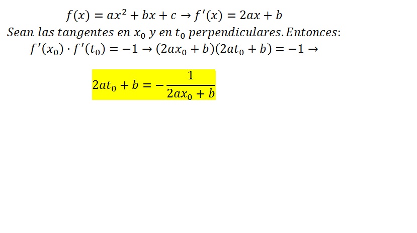
    Buenas cual es la condición que deben cumplir dos rectas tangentes a una parabola para que sean perpendiculares??
    A ver yo sé que para que sean paralelas la pendiente debe ser igual es decir que tenga la misma A pero para que sean perpediculares nose
    Mercii :)

    replythumb_up0 voto/sflag
    icon

    Antonius Benedictus
    el 11/5/16

    Esto, Guillem:

    thumb_up1 voto/sflag
    icon

    Guillem Sanz Liarte
    el 11/5/16

    mercii por la respuesta pero tanta letra asi de golpe puff me lo podrias explicar un poquito con texto escrito??

    de nuevo gracias
    EDITO:pueede ser que las pendientes al multiplicarlas den -1??

    thumb_up0 voto/sflag
  • icon

    Gaussiano
    el 11/5/16

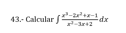
    Hoola! No me sale esta integral.

    Yo hice los siguiente:

    Dividí los polinomios, al final, aplicando D/d= C+r/d , me quedó: x+1 +(2x-3/x^2-3x+2).

    Luego quedan dos integrales ∫x+1 dx + ∫(2x-3/x^2-3x+2) dx Con la primera no tuve problemas, separé nuevamente la segunda integral en dos integrales, una con numerador 2x menos la integral cuyo denominador es 3, pero si las dos integrales me dan el mismo resultado, se acaban anulando, ahí me quedé... Gracias!

    replythumb_up0 voto/sflag
    icon

    David Moldes
    el 11/5/16

    Si te das cuenta, en el numerador está la derivada de lo de abajo, así que simplemente el resultado de esa integral es el ln[x^2-3x+2].

    thumb_up1 voto/sflag
    icon

    Gaussiano
    el 11/5/16

    Si en el numerador está la derivada de lo de abajo, ¿porqué para x^2 en el numerador x^3? cuando la derivada es 2x,

    thumb_up0 voto/sflag
    icon

    Javier
    el 11/5/16

    Alien, me parece que David se refiere a la otra integral que te había quedado: ∫ (2x-3/x^2-3x+2) dx
    Un saludo.

    thumb_up1 voto/sflag
    icon

    Gaussiano
    el 11/5/16

    Ah ok, gracias

    thumb_up1 voto/sflag
    icon

    Gaussiano
    el 11/5/16

    Bueno, hay un error en el enunciado, integral cuyo numerador es 3, no denominador, como puse

    thumb_up0 voto/sflag
    icon

    Gaussiano
    el 11/5/16

    Qué fácil era!, ¿algún consejo para no precipitarme con las integrales y usar fórmulas que no se pueden aplicar?

    thumb_up0 voto/sflag
    icon

    Javier
    el 11/5/16

    El mejor consejo con las integrales y con cualquier otra cosa es: Repetición. Aquí tienes unas cuantas para entretenerte.
    801 integrales resueltas
    Un saludo.

    thumb_up1 voto/sflag
  • icon

    María José
    el 11/5/16

    Me podéis confirmar si tengo bien estos cálculos por favor , gracias .
    se trata de interpretar una función : 5/(x^2-6x+10)
    el corte eje OY(0,0'5) ; OX(5,0)
    existe un máximo en (3,5) , creciente de (-infinito , 2'42) , y decrece (3'57, +infinito)
    no presenta simetría , y presenta un punto extremo en x=3

    replythumb_up0 voto/sflag
    icon

    Antonius Benedictus
    el 11/5/16

    Con el eje OX no hay corte, pues 5≠0.
    El máximo está bien.
    Crece en (-inf,,3) y decrece en (3,+inf.)

    thumb_up0 voto/sflag
  • icon

    Tania
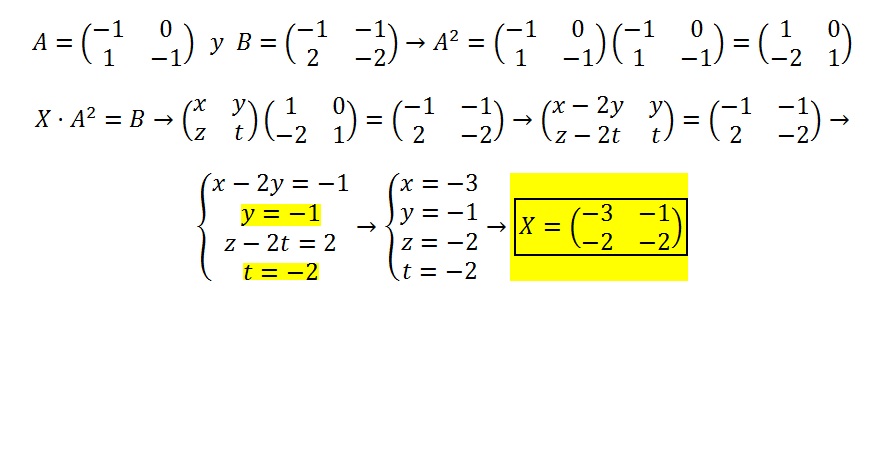
    el 11/5/16

    Hola
    Alguien podría decirme como despejo la X por favor
    Gracias

    replythumb_up0 voto/sflag
    icon

    Antonius Benedictus
    el 11/5/16

    Así, Tania:

    thumb_up1 voto/sflag
    icon

    Tania
    el 11/5/16

    No comprendo cuando puedo darle valores ficticios a la X para después igualarlos y al despejarlos encontrar la respuesta, como has hecho tu en este caso. Y cuando he de despejar la X a través de la inversa . Sabrías tu explicármelo por favor. Muchas gracias por la respuesta me ha servido de gran ayuda Antonio.

    thumb_up0 voto/sflag
    icon

    Antonius Benedictus
    el 11/5/16

    Para matrices pequeñas, no es preciso utilizar la inversa. Simplemente pones una matriz con los elementos desconocidos y la obligas a que cumpla la condición, Obtendrás ujn sistema que hay que resolver.

    thumb_up0 voto/sflag
  • icon

    miguel
    el 11/5/16

    Puedo hacer ruffini si un polinomio no tiene termino independiente?¿ por ejemplo este 2x(la x elevada a 4) + 4x²

    yo pieso que si pero seguramente este equivocado


    replythumb_up0 voto/sflag
    icon

    Alba
    el 11/5/16

    Al no haber termino independiente puedes sacar factor común 2x^2(x^2+2), reduciendo al máximo el poliniomio.
    No necesitas para nada ruffini en este caso

    thumb_up1 voto/sflag
    icon

    miguel
    el 12/5/16

    y como lo dejaste tu seria el polinomio factorizado?¿
    graciaas!!

    thumb_up0 voto/sflag
    icon

    Alba
    el 12/5/16

    Siii miguel

    thumb_up0 voto/sflag
  • icon

    Marco
    el 11/5/16

    Hola unicoos por favor si tienen un pdf de integrales para praticar. gracias

    replythumb_up0 voto/sflag
    icon

    Rodrigo
    el 11/5/16

    Resueltas o para realizar?
    si son para realizar, tengo este
    http://www.dcb.unam.mx/CoordinacionesAcademicas/Matematicas/CalculoIntegral/documents/series/Serie3.pdf

    thumb_up0 voto/sflag
    icon

    Javier
    el 11/5/16

  • icon

    Juan
    el 11/5/16
    flag

    No entiendo los sistemas de ecuaciones equivalentes, cómo hacerlos con combinación lineal, ¿hay video sobre ello?

    replythumb_up0 voto/sflag
    icon

    David
    el 13/5/16

    Lo siento pero sin ver un ejemplo concreto no tengo ni idea de a que te refieres...

    thumb_up0 voto/sflag