Foro de preguntas y respuestas de Matemáticas

logo beUnicoos
Los foros de unicoos se han unificado en nuestra nueva plataforma beUnicoos. Para dejar nuevas preguntas deberás hacerlo allí, donde además podrás encontrar nuevas asignaturas y herramientas para ayudarte más con tus estudios.

  • icon

    María José
    el 12/5/16

    Me podéis resolver una duda , gracias .
    Cuando calculo que la función tiende a infinito , me da como resultado =2 , pero no se como expresar el crecimiento de la población .
    este es el enunciado : Para conocer nuestros potenciales clientes hemos realizado un estudio de la población del entorno. La función que nos muestra el crecimiento de la población en miles de personas es: donde x representa los años transcurridos. Calcula el crecimiento de la población cuando transcurran muchos años.
    y=(6x^2+3x)/(3x^2-2x+7)

    replythumb_up0 voto/sflag
    icon

    César
    el 12/5/16

    Se trata de estudiar la funcion María

    thumb_up0 voto/sflag
  • icon

    Alex Domínguez
    el 12/5/16

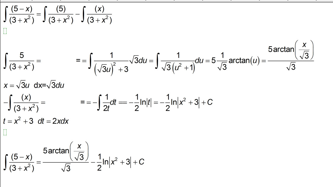
    Buenas, como se haría ∫(5-x)/(3+x^2)
    Muchas Gracias !!!

    replythumb_up0 voto/sflag
    icon

    César
    el 12/5/16

    Va Alex

    thumb_up0 voto/sflag
    icon

    Alex Domínguez
    el 12/5/16

    muchas gracias

    thumb_up0 voto/sflag
  • icon

    Joaquin Martinez
    el 12/5/16

    hola, si una derivada me aparece como 4sen(3x)^3. cuando aplico la regla de la cadena lo primero seria hacer por la formula de la multiplicacion, luego la potencia y al final el 3x?

    replythumb_up0 voto/sflag
    icon

    César
    el 12/5/16

    Fijate bien Joaquin

    thumb_up0 voto/sflag
  • icon

    Joaquin Martinez
    el 12/5/16

    Hola, queria saber si realize bien esta derivada. Usando regla de la cadena

    replythumb_up0 voto/sflag
    icon

    Rodrigo
    el 12/5/16

    Yo la veo correcta

    thumb_up0 voto/sflag
  • icon

    Fede Leo
    el 12/5/16

    Raices Complejas: 4 √z -----> z = 1/16i
    a = 0; b= 1/16
    r = 6 √ 0² + (1/16)² ----> r = 3 √ (1/16) -----> r = 0.39
    arctg b/a -----> (1/16) / 0 ¿?¿?¿? ------> 90º

    *Supuestamente el argumento de un número complejo puro es 90º (si es positivo) y 270º (si es negativo)
    ¿es así?

    replythumb_up0 voto/sflag
    icon

    César
    el 12/5/16

    z = 1/16i=-i/16 en forma polar 1/16 (-90º)
    √z=√1/16 (-90/2) →1/4 (-45º)


    i=1 (90º) -i=1(270)=1(-90)

    thumb_up1 voto/sflag
  • icon

    Axel Morales Piñón.
    el 12/5/16

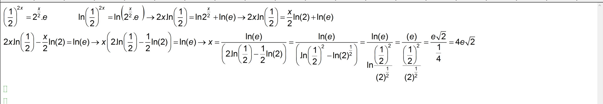
    #Unicoos, una manita por fa, si podrían indicarme mi error, gracias de ante mano :-)

    replythumb_up0 voto/sflag
    icon

    César
    el 12/5/16

    No has aplicado bien las propiedades Peter

    Si no he metido la patita será

    thumb_up1 voto/sflag
    icon

    Antonius Benedictus
    el 12/5/16

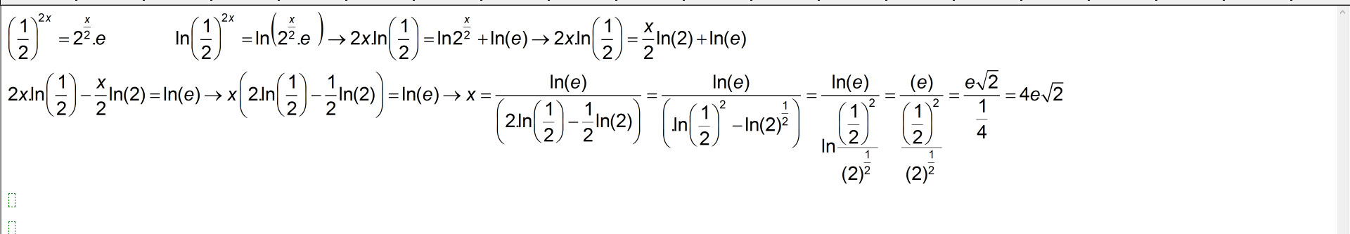
    A mí me sale esto:

    thumb_up1 voto/sflag
    icon

    Axel Morales Piñón.
    el 12/5/16

    Ya veo mi error amigos, muchas gracias a ambos:-)

    thumb_up0 voto/sflag
  • icon

    OkeyAlgebra
    el 12/5/16

    Hola unicoos! Este problema me pregunta si S es un subespacio vectorial de V. si me podrian decir si lo hice bien se los agradeceria !!!
    (aqui subo el problema, y en el link de kn3 como lo resolvi....)
    https://k61.kn3.net/B/5/7/6/D/8/D26.jpg

    replythumb_up0 voto/sflag
    icon

    César
    el 12/5/16

    Bastaria con ver que no esta incluido el vector cero, por tanto no puede ser subespacio.

    thumb_up1 voto/sflag
  • icon

    Alex Domínguez
    el 12/5/16

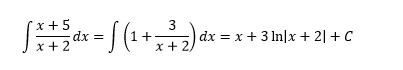
    Hola !, como se haría la integral ∫(x+5)/(x+2) ? Gracias

    replythumb_up0 voto/sflag
    icon

    Axel Morales Piñón.
    el 12/5/16

    Hola Alex, puedes hacer un cociente de Polinomios ya ya esta:)

    thumb_up0 voto/sflag
    icon

    Axel Morales Piñón.
    el 12/5/16

    Te la mando en una entrega Alex:-)

    thumb_up0 voto/sflag
    icon

    Alex Domínguez
    el 12/5/16

    Muchísimas gracias tío

    thumb_up1 voto/sflag
  • icon

    Gaby
    el 11/5/16

    me podrian ayudar porfavor unicos explicarme cual es la formula que se requiere para resolver estos tipos de problemas: si se requiere de 2 personas para construir una barda de 20 m. de largo y 1.5m de alto en 2 dias ¿Cuantas personas se necesitan para terminar esa misma barda en medio dia?

    replythumb_up0 voto/sflag
    icon

    David
    el 13/5/16

    2 personas- 2 días
    x personas - 0,5 días...
    Es una regla de 3 inversa...
    x=2.2/0,5=8 personas

    thumb_up1 voto/sflag
  • icon

    Karen San Martín
    el 11/5/16

    Hola! en este video de limites https://www.youtube.com/watch?v=icZDdqfHAUo&list=PLOa7j0qx0jgPouI95dWk8jKNq_FZVha6V en el primer limite x^4 - x^3 entiendo porque es infinito, pero si aplico la truco de dividir por el máximo exponente quedaría uno.. Por qué no funciona el truco para ese ejercicio?
    De ante mano muchas gracias.

    replythumb_up0 voto/sflag
    icon

    David
    el 13/5/16

    En ese caso no puedes aplicar ningun "truco".. Eso solo se hace cuando te quede una indeterminacion del tipo ∞/∞.. Mejor?

    thumb_up0 voto/sflag