Unicos buenas noches, me podrian ayudar con la explicacion de como se resuelve este tipo de ejercicio por lo menos el literal a y b , y donde mas puedo encontrar este tipo de ejercicios.
saludos

Resuelve cada ecuacion por separado.. El trabajo duro tiene que ser el tuyo.. Por ejemplo x-1=0...x=1....
x²-1=0 si x=±1... ¿cuando coinciden ambas soluciones? cuando x=1.... ¿cuales son todas las soluciones posibles? x=±1....
Y así con todos... no dudes en preguntarnos si alguna ecuación en particular se te resiste...
determine todos los valores de k perteneciente a los R para los cuales (-1,-2,0) es combinacion lineal de los vectores del conjunto: {(2,1-1),(1,1+k,k),(2,2,1)}.
Podrian decirme si lo hize bien?Gracias de ante mano
Hola! Necesito ayuda con esta ecuación diferencial, por favor. No sé por donde encararla :(
Gracias!!
Ayudaa por favorr con este ejercicio, una profesora observa en la pizarra la igualdad, 3.4=10. antes de borrarla piensa que quizá está escrita en un sistema de numeración no decimal. es esto posible? cual seria la base de dicho sistema? gracias
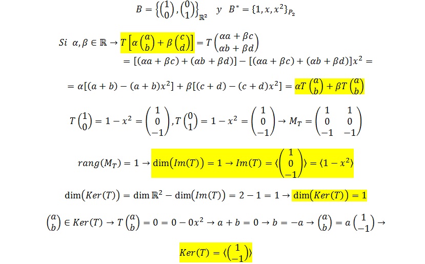
Buenas tardes! Alguien me podría ayudar con este ejercicio? Es que la verdad no estoy segura si el procedimiento para obtener el núcleo y la imagen de una transformación lineal está correcto.
Como el foro solo me deja adjuntar una foto por pregunta entonces podrán encontrar el enunciado y el procedimiento que hice seguiditos... Mil gracias en serio si alguien me puede ayudar:D
*Procedimiento del KernT*
Buenas tardes! Alguien me podría ayudar con este ejercicio? Es que la verdad no estoy segura si el procedimiento para obtener el núcleo y la imagen de una transformación lineal está correcto.
Como el foro solo me deja adjuntar una foto por pregunta entonces podrán encontrar el enunciado y el procedimiento que hice seguiditos... Mil gracias en serio si alguien me puede ayudar:D
*Foto del enunciado*