Hola, necesito ayuda con estas dos derivadas. Me gustaria resolverla usando la definicion pero no se como hacerlo... Para el primer ejercicio utilice la formula de la derivada de un cociente y me dio 0 pero no estoy segura.. El segundo ejercicio aplique lo mismo y tambien utilice la regla de la cadena pero tampoco estoy segura que este bien...
Buenas noches a todos. Ma podrían ayudar a hacer este ejercicio?
-Decir si el siguiente conjunto es un subespacio vectorial de F([0, 1]).
{f ∈ C[0, 1] : f(1/2) = 0}. Justificar la respuesta.
Desde ya gracias por la ayuda.
Hola, mañana tengo examen de distribuciones de la probabilidad, y no entiendo nada, los videos no me ayudan porque necesito desde el principio...

¿¿?? No tengo ni idea de que estás estudiando, ni el curso que haces, ni que has dado, ni que necesitas.. Lo que si puedo asegurarte es que si quieres empezar desde nu nivel básico encontrarás decenas de vídeos dedicados.. Por ejemplo... Distribuciones de probabilidad
Buen día alguien puede ayudarme con estos problemas de límites. Es un tema de las propiedades de límites. Gracias.
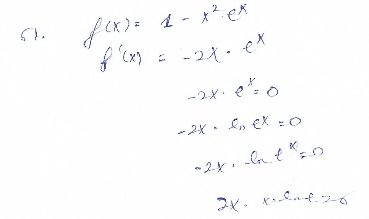
Hoola! He intentado hacer este ejercicio de derivabilidad, pero no sale, lo poco que intenté está mal.
Dada la función f(x)=1-x^2·e^x , se pide:
i) Hallar las coordenadas de sus máximos relativos.
ii) Calcula, si existe, la ecuación de la asíntota horizontal.
Gracias!
Me podéis ayudar con mi duda por favor , he estado viendo videos , pero no logro resolverla .
Cuando igualo a 0 una ecuación de segundo grado para averiguar el dominio , y esa ecuación no existe debido a que la raíz cuadrada me da negativa , ¿como expreso el dominio de la función ?
y otra duda , al calcular la asiento vertical ,¿ a que tiende el limite de x ? , cuando no tengo ningún numero en el dominio . Gracias .
dejo aquí la ecuación por si facilita el entenderme , 5/x^2-6x+10 (x igual o mayor que 0)
Me podéis ayudar con mi duda por favor , he estado viendo videos , pero no logro resolverla .
Cuando igualo a 0 una ecuación de segundo grado para averiguar el dominio , y esa ecuación no existe debido a que la raíz cuadrada me da negativa , ¿como expreso el dominio de la función ?
y otra duda , al calcular la asiento vertical ,¿ a que tiende el limite de x ? , cuando no tengo ningún numero en el dominio . Gracias .
dejo aquí la ecuación por si facilita el entenderme , 5/x^2-6x+10 (x igual o mayor que 0)