
r+h=12.... h=12-r...
V=π.R².h/3... sustityo h=12-r y te queda... V=π.R²(12-R)/3...
Y como siempre... Deriva e iguala a 0...
Es casi identico al del cilindro... Optimización
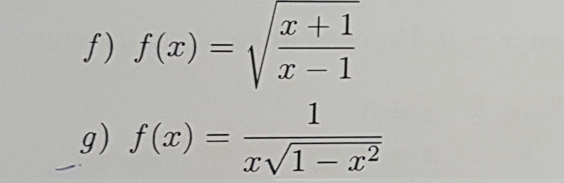
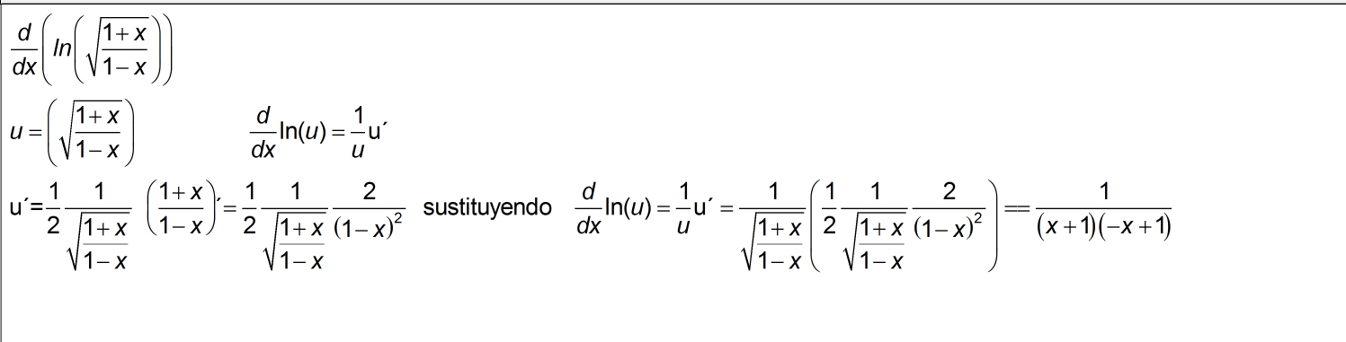
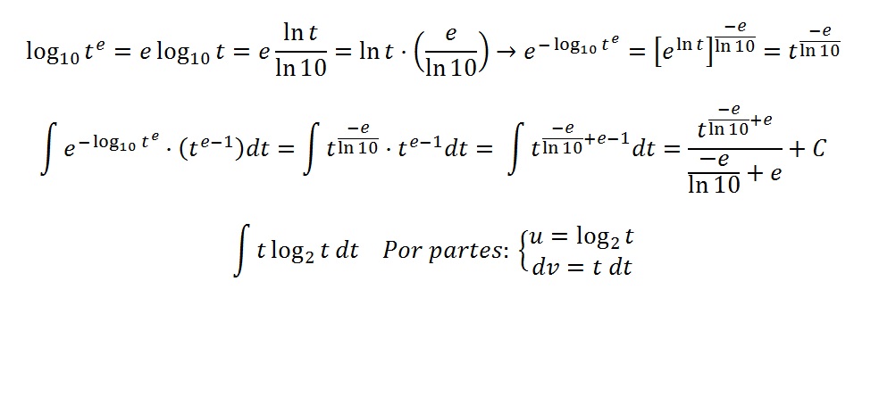
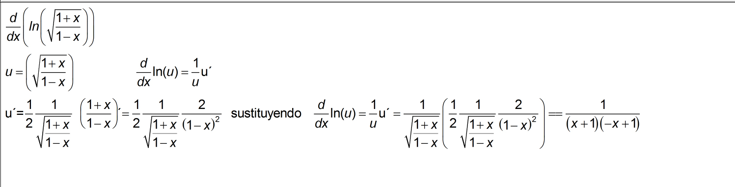
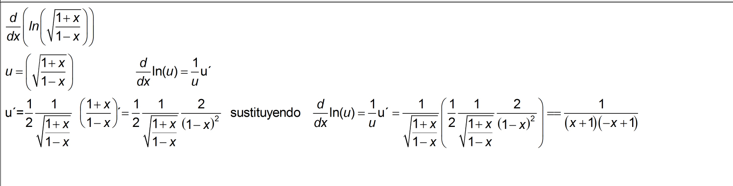
Hola, tengo dudas con estos dos ejercicios.. tengo que hacer la derivada de cada uno de ellos.. si me podrian ayudar. Desde ya muchas gracias
Hola Unicoos,
No entiendo cómo calcular la periodicidad de una función periódica, ni tampoco lo que significa la expresión f ( x + T ) = F(x)
Si me lo pudieran explicar y si me ponen algún ejemplo lo agradecería mucho.
Muchas gracias.
Límites y Continuidad
Límites y Continuidad
Mirate los videos y nos preguntas cualquier duda
Hoola! de nuevo, he hecho este ejercicio de derivabilidad, que no sé si está bien:
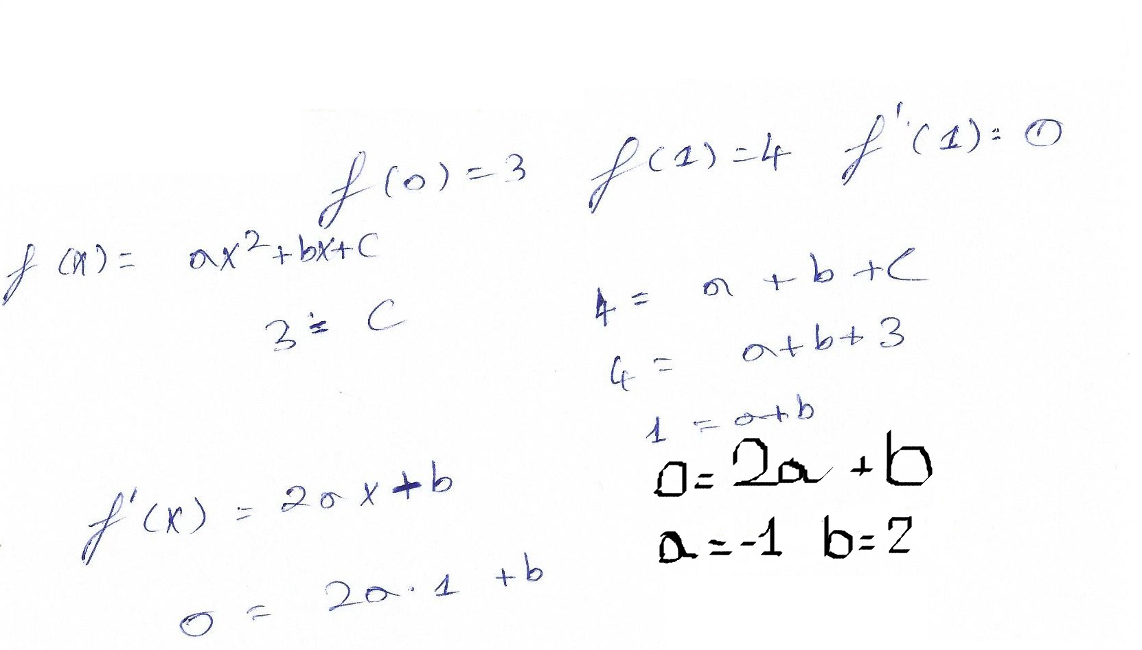
Dada la función f(x)=ax^2+bx+c, determina los valores de a,b y c, sabiendo que la gráfica de f(x) pasa por los puntos (0,3) y (1,4) y que la recta y=4 es tangente a dicha gráfica cuando x=1. ¿Les da el mismo resultado?
Gracias!