Holaa!! esto esta bien asi?¿
(3xy+ 5y)²
3²x²y² + 5²y² + 2(3xy × 5y)
9x²y² + 25y² + 2(15xy²)
34x²y² + 30xy²
64y²x² + x

A ver Miguel, creo que agrupas mal.
(3xy+5y)² = 9x²y²+25y²+2(15xy²) =9x²y²+25y²+30xy². y esa es la solución, no se puede agrupar más, al menos creo yo.
Si quieres sacar factor común y², te queda: y²(9x²+30x+25) Si resuelves la ecuación de 2º grado te queda: y²(x+5/3)²
Un saludo.
Hola Profesor! Siempre lo sigo desde Paraguay, quisiera que me ayude con este ejercicio de Analisis Matematico que ha salido en varios finales pero no estoy pudiendo resolverlo le agradecía su ayuda!
Los puntos de corte son x=√(½+√(101/2))
las dos zonas creadas son identicas, el área de una de ellas sera la mitad del área total
√(½+√(101/2))
∫ √(x²+25)-x^2 =A →Area total 2A
0
la primera sale con x=5 tg(t) es bastante larga
http://es.symbolab.com/solver/definite-integral-calculator/%5Cint%5Csqrt%7B25%2Bx%5E%7B2%7D%7D/?origin=enterkey
Para el tema del volumen mirate este video sobre el metodo de los discos
Volumen de revolucion 01 - Metodo de los discos
Volumen de revolucion 02 - Metodo de los discos
hola !!! estoy haciendo programación lineal y me queda hacer un ejercicio que no entiendo, si me pueden ayudar se los agradezco. Majo de Uruguay

2<=x<=7.
x>=y
x+y<=10
y>=0
La funcion objetivo será B=0,09x+0,12y
Echale un vistazo... Programación lineal
buenas a todos tengo una duda de un ejercicio: el ejercicio dice lo siguiente: estudia la posicion de la esfera x2+y2+z2-2x-8y-z=0 con respecto a la recta que pasa por los puntos p(0,6,-11) y Q(0,-2,5)
Hola buenas a todos. Pueden agilitarme una ayuda con el último problema. Me piden los limites cuando x tiendes al "mas infinito" y "menos infinito" . Determine si existen asínotas verticales y horizontales. Muchas gracias.
Mírate los vídeos de limites. De todas formas, sustituye x por infinito o menos infinito, puede que te quede indeterminación de infinito-infinito o no... Si te queda, multiplicalo y divídelo por su conjugado. Te quedará indeterminación infinito/infinito, para resolverlas divide todas las x entre el x de mayor grado del denominador, para meter x en una raíz cuadrada elevala al cuadrado. No se si me explico...
Hola unicoos por favor ayudenme con lo pedido en la imagen, se los pido. Creo que la gráfica de la fu ción g(x) , es la inversa de f(x), sera? Pero este problema esta medito en los problemarios de límites. Por favor ayudenme con la gráfica o por lo menos diciendome de manera clara y concisa como construyo g(x). Muchas gracias.
Me podéis ayudar con este ejercicio , no se operaciones realizar para calcularlo . si me lo podéis explicar por favor . Gracias .
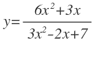
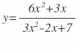
4. Para conocer nuestros potenciales clientes hemos realizado un estudio de la población del entorno. La función que nos muestra el crecimiento de la población en miles de personas es: donde x representa los años transcurridos. Calcula el crecimiento de la población cuando transcurran muchos años.

Yo concluyo que b hciste bien, pero a esta mal xq date cuenta que si tu le das un valor cualquiera a "a" el sistema se cumple, la segunda ecuación del sistema tiene dos valores iguales se anulan aunque tenga cualquier valor, entonces a=n (n es un numero cualquiera) y n € R (n pertence a los Reales). Espero haber ayudado.