Hola! Agradecería muchísimo si me respondieran a esta duda que tengo sobre las funciones cuadráticas.
Cuando hago la tabla de valores, algunas veces me salen vértices fracionarios, como por ejemplo 5/6 y me resulta un tanto difícil hallar el punto de simetría ya que no es un punto muy fácil de dibujar en la parábola. Hay algun metodo para saber el punto simétrico sin tener que ir contando rallitas una vez dibujada la parábola?
Gracias!
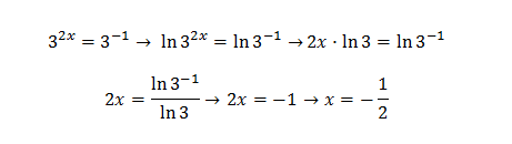
Holaa!!
como llegan a ese resultado?¿ puse varios para entenderlo bien que me esta costando
Graciaas!!

Miguel, por las propiedades de las potencias, sin tomar logaritmos, sabemos que si en una igualdad las bases son iguales. también lo son los exponentes , con lo cual puedes igualar los exponentes de los tres ejercicios obteniendo sencillamente los resultados que dan. Un Saludo.
se que en lo que señale uso la formula log, lo que no entiendo es como llego a lo de despues si alguien pudiera hacerlo paso a paso para entenderlo
Graciaas!!

La definición de logaritmo:
LOGARITMO ≡ EXPONENTE
Por ejemplo:
2^5 = 32
Base=2
Potencia que resulta=32
Exponente=5
Bueno, pues cuando queremos expresar despejado el exponente, ponemos:
5=log(base 2) de 32
Esto es: 5 es el (logaritmo=exponente) al que elevamos la base 2 para obtener 32.
Hola unicoos, estoy atascada en este ejercicio:
1º Identifica los puntos importantes para delimitar los puntos de integración. Plantea la integral que calcule el área y resuélvela.
Los puntos que te piden son los puntos en los que se cortan ambas ecuaciones, G y H. Se calculan igualando ambas ecuaciones, pero en esa imagen ya te los dan.
Los puntos de corte entre las dos ecuaciones que se elijen para calcular esa integral son sobre el eje de las X, me explico: en el punto G sería -2.39 y en el H 3.14.
La integral para calcular el área es la integral definida por eses puntos de la resta de las funciones.
No sé si me he explicado bien.
Un saludo.
Alguien que me pueda ayudar con funcion trigonometrica, aunque sea lo basico o si tienen algun material de teoria q me puedan mandarpor favor. gracias.
Me podéis ayudar a plantear estas ecuaciones por favor . Gracias .
Hacemos una campaña de publicidad anunciando que, con 100 abonados o menos, la cuota mensual será de 40 € y, si se sobrepasa esa cifra, por cada abonado adicional, la cuota se rebaja en 20 céntimos. ¿Cuál será el número máximo de abonados para obtener el máximo beneficio?
Alguien puede ayudarme, me dice que para sustituir x en la fu cion trigonometrica debe estar en radianes, por ejemplo en y= x (sen x)
La x del seno creo que debe estar en radianes, pero la x que esta fuera del ( )? O ambos en radianes? ¿Tienen que estar en un sistema angular (ya sea sexagesimal, radial o ciclico, o gradianes o centesimales) para sustituir la x? Y en caso de estar en radianes, XQ OBLIGADAMENTE DEBE IR EN RADIANES... No puedomhacer las gráficas de funciones x culpa de eso.
◇Ayudenme explicandome el ejercicio b. Xq todos ahí estan en radianes exepto el b.) que hago ahí? Ayuda...

Se trata simplemente de usar la calculadora en radianes o pasar los radianes a grados (recuerda que π radianes equivalene a 180º) y trabajar con la calculadora en modo DEG...
Para trabajar en modo DEG, pasaremos los radianes a grados
El primero... sen(π/2 rad) = sen90º= 1...
El segundo cos(3π/2 rad)=cos(270º)=0.... Y así con todos.. Espero te sirva...