buenas vereis ahora estoy con el tema de hallar áreas mediante integrales y me dice que la función es seno de x la primera y la segunda es coseno de x y tengo que hallar su área desde una zona a otra lo que no entiendo es como hallar los puntos de corte de estas dosfunciones puesto que si igualo seno de x=coseno de x no se como seguir ayuda pelis tengo el examen final mañana

senx=cosx.... senx/cosx=1... tanx=1... x=45º ± 180k... Echales un vistazo... Creo recordar que hice una igual... Ecuacion trigonometrica 01
Para el area, deberías adjuntar el enunciado exacto pues no sé en que zona tienes que hallarla......
Hola a todos, es muy bueno poder contar con un canal y un foro de ayuda para los que queremos avanzar en esta etapa de nuestras vidas. Muchas gracias por todo.
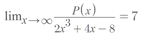
Estoy con un problemita de limites que no logro entender para resolver.
Tengo que hallar P(x) tal que ese limite que adjunto en imagen me de como resultado 7 y justificar si P(x) es unico?
Según lo que puedo deducir viendo el ejercicio es que P(x) puede ser cualquier polinomio de Grado 3 con el coeficiente = 14.
Espero me puedan ayudar! Muchas gracias!!!!
hola chicos:
Mi hijo está dando geometría espacial (2º ESO) yo hago de profe a la vez q de madre. He intentado ver videos vuestros al respecto, pero solo he encontrado de :pirámide,ortoedro y cubo.
Podeis editar alguno sobre prisma y cilindro?
Gracias.
Beatriz.
Geometría analítica
A ver si estos te sirven , para cualquier duda , nos dices vale!!
Hola de nuevo unicos perdon por molestar pero tengo otro problema.
◇Si la expresión x(t)=-16t²+1000 da la altura de un objeto que lleva cayendo t segundos desde una altura de 1000 metros, la velocidad en el instante t=a segundos está dada por la expresión de la imagen.
a.) Si un objeto se deja caer desde una distancia de 1000 metros, ¿Con qué velocidad está cayendo 5 segundos despúes de haber empezado a caer?
b.) ¿Con que velocidad e instante de tiempo se producirá el impacto?
Ayudenme con esto no tengo idea de comor hacer, no se si reemplazo el 5 en t o a. Muchas gracias de antemano. ATT: El Toby.

Veamos:
Si x(t)=-16t²+1000, esa va aser la expresión de cualquier altura comprendida entre 0 y 1000 m para un tiempo t. La velocidad en cualquier punto de ese recorrido será la derivada de esa posición:
a) v(t)=dx/dt=-32t........ alos cisco segundos su v sera: v(5)=-32·5=-160 j m/s (con Notación vectorial) y en módulo: 160 m/s
b) El impacto se producirá para x=0→0=-16t²+1000→t=√1000/16=7.91 segundos....... A esos segundos su velocidad será:
v(7.91)=-32·7.91=-252.98 j m/s (con notación vectorial) y en módulo será 252.98 m/s. Espero que lo entiendas y te sirva. Un Saludo.
Una cosa, Toby, este ejercicio es de física.
Buenas. Soy nuevo en el foro de mates, estoy aquí xq necestio a Alguien que sepa del tema para q me ayude con el problema que tengo, este tema jamas lo había visto en el bachiller y me estan dando ahora en la universidad y no se que hacer,
Me piden el valor de k para el cual
Lím f(x) exixta
x→2
no se a quién recurrir x eso vine aquí.
Este proyecto unicoos es uno de los mejores que he tenido el honor de conocer para aprender, se merece una medalla de oro. Esperare la ayuda, y gracias.
Hola maestros de unicos, alguien podria decirme la respuesta de este problema, ya hice varios parecidos, pero este en particular no puedo, será quizas xq es cuadrática. Y gracias por su ayuda maestros de uncios. ATT: El Toby.
Hello chicos µnicoos, please colaborenme con el siguiente ejercicio se los imploro , ya le dí demasiadas vueltas al asunto pero no se como hacerlo.
Olvidense del enunciado a.) La gráfica si la se hacer y la b.) Tambien la se, sé hallar sus límites, ambos límites no existen. Yo quiero ayuda en la c.)
Ahhhh y la propiedad 4i. Es la propiedad del enunciado e.) Pero sin el ≠ . Les agradecería unmontananazo si me ayudan. Saludos y besos para todos los unicoos. Thanks.