Hola!
¿Cómo se hace la composición de funciones de dos funciones partidas?. Por ejemplo:
f(x)= 3+x si x> 1
x^2 +2 si x1
-(x-1)^2 si x

Echale un vistazo.. Continuidad y limites laterales
Imagina y dibuja una función que cumpla todas esas condiciones y nos la envías para que te la corrijamos ¿ok?...
El trabajo duro tiene que ser el tuyo... Animo!
Sustituye y probablemente te dará o 0/0 o inf/inf, a partir de ahí, deriva la parte de arriba, deriva la de abajo y vuelve a sustituir, y si te aparece lo mismo sigue derivando hasta que te salga, es decir, usa L' Hôpital, sino busca la regla en el buscador, espero haberte ayudado Gabo

Haz un cambio de variable u=π/2-x, cuando x→π/2 entonces u→0. Te queda:
limite [1-sen(π/2-u)]/u² cuando u→0
Recuerda que sen(π/2-u)=sen(π/2)cos(u)-sen(u)cos(π/2)=cos(u), entonces te queda:
limite [1-cos(u)]/u² cuando u→0
Multiplica por el conjugado del numerador y te queda:
limite sen²(u)/[u²(1+cos(u))]cuando u→0 = [limite [sen(u)/u]² cuando u→0] * [limite 1/(1+cos(u))cuando u→0]
El primer limite es notable y vale 1, el segundo es 1/2. Por tanto el limite es 1/2 , ojala y te sirva :)
Buenas tardes, profe David! soy nueva por aca, estoy con problemas con Grupo Abeliano. Necesito saber si cumple la Ley de Cierre, osea si sumando 2 elementos de G obtengo como resultado otro elemento que pertenezca a la estructura de G... cuál de los dos caminos es el correcto? Desde ya gracias.
Buenas noches, no entiendo como podría representar f (x) = I ln x I. Está todo el ln en valor absoluto.
Gracias anticipadas
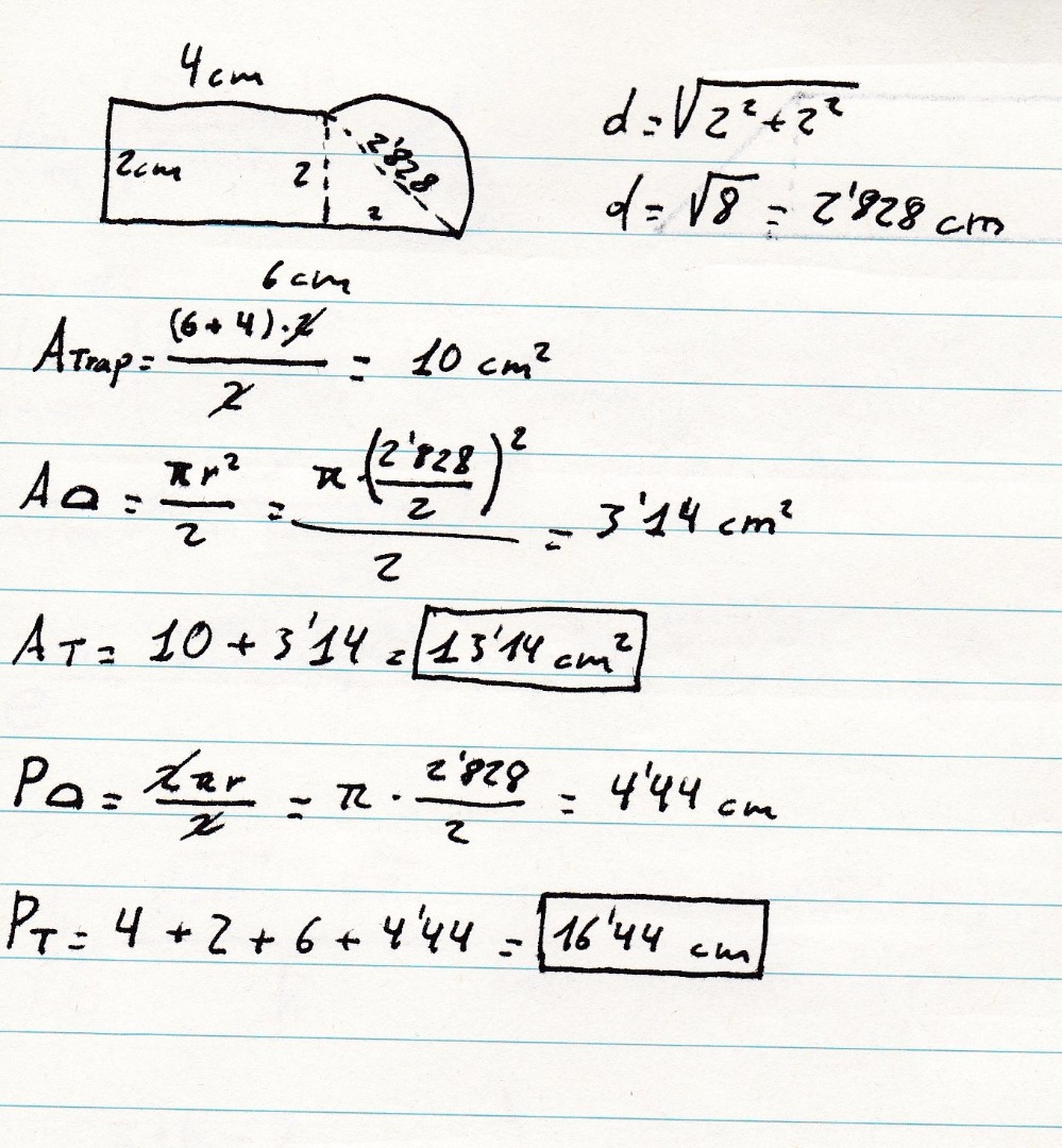
¡Buenas noches! ¿Me pueden decir si estos ejercicios están bien?En el primero no se como calcular el perímetro.
Gracias
Hola muy buenas, aquí tienes una imagen con la resolución del primero de los ejercicios, tenías que usar el Teorema de Pitágoras para sacar el diámetro de la semicircunferencia.
En cuanto al segundo, no te parece un poco enorme 2 millones m^2 para un piso? O_o Tienes que multiplicar únicamente las paredes del piso: 16,5*16.5 → 272.25 m^2. El resto visto así por encima creo que está bien. Espero que te ayude.
Ayuda por favor. En una clase hay 100 alumnos, de los cuales 24 son chicos y 32 son chicas. ¿En qué base la frase anterior es cierta? gracias