Hola de nuevo, me podrian de decir como hago esto me piden que a partir de la gráfica de f(x)=[[x]] cacule el límite, pero si n no es x. Como puedo hacer lo que me piden. Muchas gracias.
Alguien puede ayudarme aquí con esto habla de la vecindad y de límites, no comprendo bien que es vecindad, ayudenme explicandome. Necesito su ayuda para hacer el ejercicios de la imagen. Gracias.

Se ttrata simplemente de que construyas una tabla de valores con valores cada vez más proximos a 1 (Para x=1,01, x=1,001, x=1.0001, x=0,9, x=0,99, x=0,999...)
El valor de "y" al que te acerques es el limite de la funcion... Esos valores de x son los valores "vecinos" de x=1 (los que más cerca es´tan).. Simplemente,..
Para el resto, te sugiero estos vídeos... LIMITE aplicando la definición 01
Hola otra vez, ayudenme y corrijanme. Según gráfica y la función con sus reglas de correspondencia, " Yo he respondido así"
La primera es = 0
La segunda 0.. por lo tanto los límites laterales coinciden en un número entonces existe el límite total en dicho punto,así yo digo que ha de existir el lím cuando x→0 de f(x) .
Tambien concluyo que su dominio es R.
Y aparte de corregirme, necesito de otro favor, que me ayudeís con el rango de la función. Según la gráfica parece que Rg f(x)=[1,-1] , pero quiero un proceso 3,pleando el álgebra. Ayudenme se los pido de favor y como petición, tengo demasiada tarea de matemáticas ya llevo 34 hojas, la necesito por que tengo quee entregar esta semana y repasar para la prueba escrita. Y de nuevo gracias por vuestra sincera ayuda. Mil gracias. Saludos.
La primera es = 0
La segunda 0.. por lo tanto los límites laterales coinciden en un número entonces existe el límite total en dicho punto,así yo digo que ha de existir el lím cuando x→0 de f(x) .
Tambien concluyo que su dominio es R.
Y aparte de corregirme, necesito de otro favor, que me ayudeís con el rango de la función. Según la gráfica parece que Rg f(x)=[1,-1] , pero quiero un proceso 3,pleando el álgebra. Ayudenme se los pido de favor y como petición, tengo demasiada tarea de matemáticas ya llevo 34 hojas, la necesito por que tengo quee entregar esta semana y repasar para la prueba escrita. Y de nuevo gracias por vuestra sincera ayuda. Mil gracias. Saludos.">![]()
Buenos días Viviana, El límite de la función cuando x--> 0 por la derecha, no existe, pues se trata de una función que oscila, tomando todos los valores entre -1 y 1, incluyendo éstos, pero no converge por la derecha.
Por la izquierda sí está bien.
Se concluye por lo tanto que no existe el límite de la función cunado x-->0, en consecuecia, dicha función no es continua en x=0
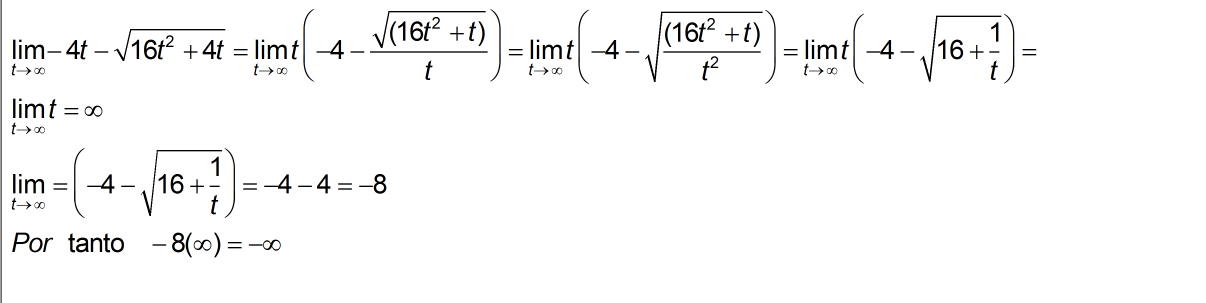
Hola amigos de unicoos , me podrian ayudar corrigiendo el problema de límites, algo me dice que anda mal, al hacer el límite al infinito negativo, me da infinito positivo. ¿Qué esta mal?. En la gráfica se observa que el primer límite coincide con la asíntota horizontal, eso estaría bien. Creo que esta mal el límite cuando x tiende al infinito negativo, xq en la gráfica tiende al menos infinito. Lo hice por cambio de variable. ¿Es posible hacer el límite cuando x tiende al infinito negativo sin hacer cambios de variables? En caso de si haber otra forma, ayudenme también ofreciendome esa información de ayuda. La necesito por que mi profesor ahora esta más exigente que nunca, nos hace realizar un ejercico de distintos métodos y quisiera saber si hay otra forma para que no me traiga sorpresas. Muchisisisisisisisisisimas gracias de antemanos amigos de unicoos y saludos a vuestros equipo. Sois los mejores. Gracias
Hola que tal. Me encantan sus vídeos y les agradezco muchísimo primero que nada.
Bueno, mi pregunta es: ¿también haces vídeos de álgebra? Porque tengo muchos problemas con por ejemplo lo que son las combinatorias ; ya eh reprobado un parcial de esta materia y a sido un bajonaso.
Desde ya muchas gracias!
Buenas! Estoy aprendiendo algo de taylor, expandiendo funcione basicas como e , sin y cos. Me ha surgido una duda cuando se me pide que expanda e^sinx hasta grado 5 , en x=0.
No entiendo muy bien como encadenar ambos desarrollos.
Se que el e^x = 1+x+(x^2)/2+(x^3)/3!....
Y que sin(x) = x-(x^3)/3!+(x^5)/5!...
Lo que no estoy entendiendo es si en el polinomio de e^x debo sustituir todas las x por el polinomio del sin hasta el infinino, o? realmente no entiendo jaja
Buenas noches, me pueden ayudar con esta integral por favor en realidad no sè por donde puedo empezar :(, gracias de antemano.
El enunciado dice: Resolver la integral teniendo en cuenta que m es una constante.