Hola , tengo una recuperacion de tema de funciones y no se hacer unos problemas , me podrían ayudar?
1- una bacteria se reproduce por bipartición cada cuarto de hora ¿cuantas bacterias habrá después de 6 horas?
2-el alquiler de una bici cuesta 5 € la primera hora y 2€ mas cada nueva hora.
a)cual es el precio total de alquiler de 7 horas?
b) si pagamos 27€ , durante cuantas horas hemos alquilado la bici?
1) nº bacterias es un aP. Geometrica de razon 2 su termino general es B=2^(n-1) , con a1=1
como se dulica cada 6 horas habrá 6*4=duplicaciones => B=2^(24-1)=8388608
2)Es una progresión aritmética con a1 = 5 € y d = 2 €. de termino general an=a1+(n-1)d
a7 = a1 + 6d = 5 + 12 = 17 € cuesta por 7 horas
B) 27=5+(n-1)2→n=10 horas
Buenas! Necesito ayuda con el siguiente ejercicio: "Determine si los vectores dados son ortogonales, paralelos o ninguno de ellos". Desde ya muchas gracias!!
hola, mira: u=k.v --> (x,y,z) = k(a,b,c) condicion de paralelismo. y te dejo la de perpendicularidad aunque no la uses en este caso u.v=0 ---> (x,y,z).(a,b,c)=o ---> xa + yb + zc =0 ---> u y v son perpendiculares.
u=(3,5,0) es la dirección del vector!
v=(-6,-10,0)
Si k = -1/2
v.k=(3,5,0)=u ----> son paralelos porque tienen la misma direccion.

Te sugiero los videos de distribucion normal... Distribución normal
Se trata de que DESPUES DE IR A CLASE (ver los vídeos relacionados con vuestras dudas) enviéis dudas concretas, muy concretas. Sobre todo con dudas universitarias... Y que nos enviéis también todo aquello que hayais conseguido hacer por vosotros mismos. Paso a paso, esté bien o mal. No solo el enunciado. De esa manera podremos saber vuestro nivel, en que podemos ayudaros, cuales son vuestros fallos.... Y el trabajo duro será el vuestro. #nosvemosenclase Nos cuentas ¿ok?

Entiendo David, lo mandé ya que del tema de Inferencia estadística no tenía ningún ejercicio resuelto y quería tener alguno en el cual poder fijarme para resolver otros, lo siento.
Y gracias Antonio, lo voy entendiendo, una pregunta, en el punto A, ¿Por qué utilizas esa formula con la desviación típica?
Un saludo a los dos, gracias.

La desviación típica de la variable "medias muestrales" corrige (reduciendo) la desviación típica de la normal poblacional subyacente, dividiendola entre la raíz cudrada de la muestra. Sucede esto incluso si la población no es normal, pero la muestra es suficientemente grande (n>37)
Me podríais ayudar con este ejercicio por favor , muchas gracias .
Se quiere montar una sala rectangular cuyo perímetro sea de 60 metros , ¿ cuales sera las medidas de la sala para que el área comprendida sea máxima?

Echale un vistazo.. Optimización de una área dado el perímetro
El tuyo es más sencillo.. 2a+2b=60... a+b=30.... b=(30-a)
El area es A=a.b=a.(30-a)=30a-a²... Y maximizas... Espero te sirva...
Saludos ! Tengo serios problemas con los planteamientos de problemas ya que no se poner bien los factores en orden para resolver las incógnitas .
Ejemplo: Un hotel dispone de 65 habitaciones de tres categorías: Estándar, Premium y Luxe. La noche para
dos personas en la estándar cuesta 50 euros, en la premium 100 euros y la noche en las de categoría
Luxe 150 euros. Se sabe que hay el triple de habitaciones de categoría estándar que de categoría
Premium. Si en un día en que están todas las habitaciones del hotel ocupadas se recauda el mismo dinero
con las habitaciones de categoría estándar que con todas las otras juntas, ¿cuántas habitaciones hay de
cada categoría?.
Se que hay que resolver primero el número de habitaciones para saber el precio de cada una una pero me hago un lío a la hora de plantear la ecuación.
Sería algo así ? Gracias de anemano.
A=3 x B-C
A+B+C=65
Buenos días!
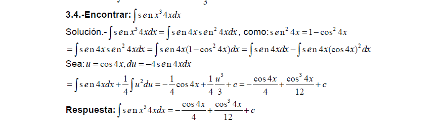
Me gustaría saber el desarrollo de la siguiente integral (ejercicio 46, apartado b). Como pone en el enunciado se realiza por partes, sé que tengo que aplicar la ecuación fundamental de la trigonometría, pero no alcanzo a ver el cambio.
Muchas gracias por adelantado.
Saludos a todos los UNICOOS.