Hola amigos de unicoos, queria que alguno de vosotroa me ayudeís con el límite adjunto en la imagen, por fa. No tengo bien la idea de como hacerlo. Muchas gracias de antemano unicoos. Saludos al unico que me salve ayudsndlme aquí. Gracias.

En el primero, divide todos los terminos por x^n... Límite infinito / infinito
Te quedaría limx->∞ (ao + a1/x + a2/x²....)/ (bo + b1/x + b2/x²....) Y como el limx->∞ a/x^n = a/∞=0...
En el segundo, se trataria de aplicar LHOPITAL n veces (derivar sucesivamente el numerador y denominador por separado)... Limite 0/0 con LHOPITAL
alguien me responde a estas 3 preguntas Please
1)como se calcula la ecuacion de un plano que contiene a 2 puntos y perpendicular a una recta???
2)como se estudia el numero de las rectas que detrminan a 3 planos ???
3) la ecuacion de un plano que contiene a 2 puntos y forma un angulo con otro plano

Te sugiero les eches un vistazo... Rectas y Planos
Se trata de que DESPUES DE IR A CLASE (ver los vídeos relacionados con vuestras dudas) enviéis dudas concretas, muy concretas. Y que nos enviéis también todo aquello que hayais conseguido hacer por vosotros mismos. Paso a paso, esté bien o mal. No solo el enunciado. De esa manera podremos saber vuestro nivel, en que podemos ayudaros, cuales son vuestros fallos.... Y el trabajo duro será el vuestro. #nosvemosenclase Nos cuentas ¿ok?
hola chicos alguien me puede pasar esta ecuacion de recta de forma implicita a forma continua :
R: -2x+y-z-3=0
x-3y+3z+2=0
Hola unicoos!
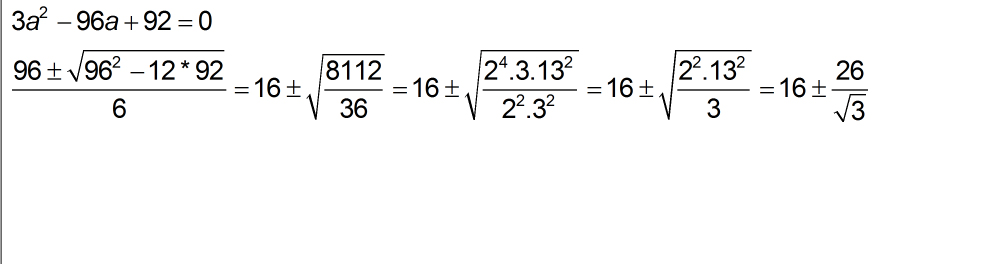
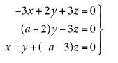
Tengo un ejercicio que dice: Calcular para qué valores del parámetro "a" el sistema tiene más de una solución.
He empezado a hacerlo por Gauss pero he visto que se me complica bastante. Alguien me podría ayudar a resolverlo porfavor ?
Muchas gracias!
He empezado a hacerlo por Gauss pero he visto que se me complica bastante. Alguien me podría ayudar a resolverlo porfavor ?
Muchas gracias! ">
Buenas, me ayudan con la siguiente función? Describir el rango de la siguiente función: r(t)= (2+t^2; 1-2t^2)..... Desde ya muy agradecido!