Hola amigos, necesito que me ayuden a comprobar el siguiente ejercicio de funciones trigonométricas, me piden calcular todas en base a una. Ya logré hacerlo pero no estoy seguro del resultado, tengo especial duda con el signo del seno y el coseno, está correcto?

Esta perfecto. Todos los resultdos deben darte positivos porque no te dicen en que cuadrante está el angulo y deberás suponer que está en el primer cuadrante...
P.D. Dado que el seno es positivo (la cosecante lo es) puedes suponer tambien que el angulo está en el segundo cuadrante. en ese caso el coseno sería negativo.
y por tanto también serían negativos la secante, la tangente y la cotangente.

Te sugiero este video... Ecuacion IRRACIONAL (con radicales)
En tu caso, elevando al cuadrado cada miembro... (x/t-x)²=9x².(x/t).... x²/t² +x² -2x²/t=9x³/t... Multiplicando todos los terminos por t²....
x² +x².t² -2x².t=9x³.t... (1+t²-2t)x² -9x³t =0... Sacando factor comun a x².... x².[(1+t²-2t) -9xt] =0 de donde obtendrás dos ecuaciones... x²=0... x=0 (primera solucion) y tambien
(1+t²-2t) -9xt=0....(1+t²-2t) =9xt..... x=(1+t²-2t)/(9t)=(1-t)²/(9t)... Espero te sirva.
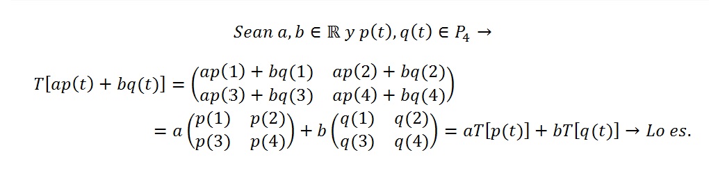
Hola, me pueden ayudar con este problemita. Se trata de sistema de ecuaciones. No se si son dos ecuaciones cada una de cada mina o si son dos ecuaciones con cada mineral en cada una. Gracias

A las toneladas extraidas de la primera mina le llamaremos x.. Por tanto extraerás de esta mina 0,01x toneladas de Niquel y 0,02x toneladas de cobre
A las toneladas extraidas de la segunda mina le llamaremos y.. Por tanto extraerás de esta mina 0,02y toneladas de Niquel y 0,05y toneladas de cobre
Por tanto... 0,01x+0,02y=4... x+2y=400
0,02x+0,05y=9...2x+5y=900
Y resuelves el sistema. Espero te sirva...
como puedo calcular esto:
150+y=√3y

¿Cómo eliminarías una raíz? Elevandola al cuadrado. Pero como es una ecuación, si elevas al cuadrado en un lado, lo tienes que hacer en el otro.
150 +y=√3y
(150+y)^2=(√3y)^2
En la izquierda tenemos una identidad notable. En la derecha la raíz con el cuadrado se va.
22500+300y+y^2=3y
Como es una ecuación de segundo grado, pasamos todo a un lado e igualamos a 0
y^2+300y-3y+22500=0
y^2+297y+22500=0
Aplicamos la fórmula de las ecuaciones de segundo grado
[-297±√(297^2-4*1*22500)]/(2*1)
La raíz sale negativa, por lo tanto, no tiene solución real la ecuación.
hola buenas noches tengo un problema de trigonometria plana que no se hacer os los palnteare:
1. Dos amigos observan un globo aerostatico desde dos puntos, A y B separados 800m uno del otro y cuyos angulos de elevacion son 35º y 65º. ¿ Aque altura esta el globo?
Hola de nuevo amigoos de unicoos, tengo una duda respecto a límites trigonómetricos, el profesor nos explicó cuando tiende cero por la derecha e izquierd gráficamente los limites de:
Lím (Sen h/h)=1
h->0
y
Lím ((Cos h - 1)/h)=0
h→0
También se los puede hacer por L'Hopital, pero también por otro método empleando un gráfico con la circunferencia goniométrica, y deduciendo desigualdades. Me podrían ayudar con estas dos formas de ambos límites. Por fa elos necesito y nuevamente les doy i mas sincero y grato agradecimiento. Gracias.

No sé bien que necesitas con respecto a estos limites....
En este video explico infinitesimos equivalentes... Infinitésimos equivalentes 01