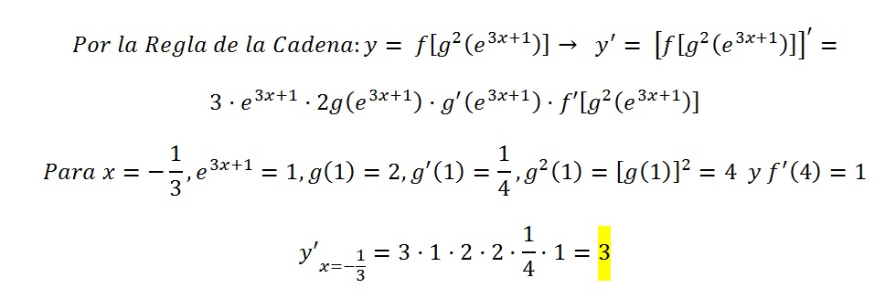
Hola, como se hace esta derivada?
Yo derivo y me queda y´=2g(e^(3x+1)).e^(3x+1).3
Y cuando reemplazo me queda: y=6
Que estoy haciendo mal?
Hola, tengo una duda relacionada con matrices, quisiera saber cómo podría resolver la matriz adjunta de una matriz cuadrada 4x4.
Quisiera saber todo el proceso, porque en mi libro aparece sólo el resultado . Gracias
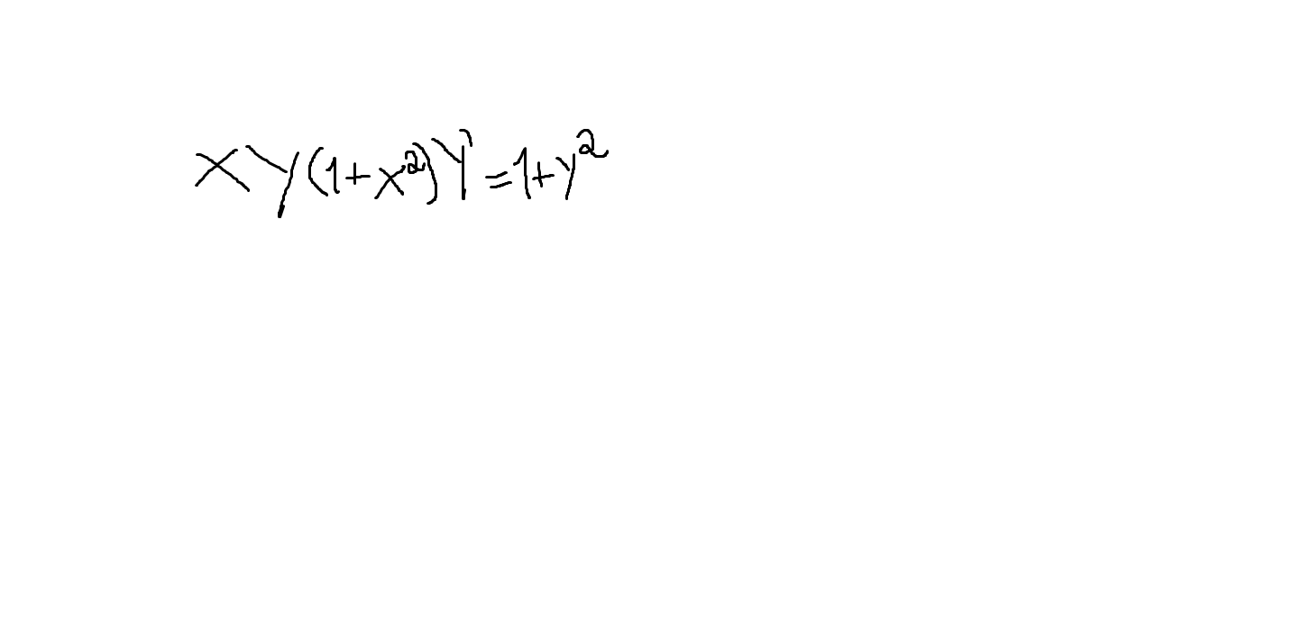
Hola, quisieran que me digan si la siguiente ecuación diferencial puede ser resuelta por el método de Bernoulli, o solo se resuelve por el método de variable separable, solo quiero que me digan eso no que me resuelvan el ejercicio de eso puedo encargarme yo.
hola gente de unicoos!!! tengo un problema de combinatoria que no se como resolver y la ayudante de la materia tampoco pudo, si alguno me puede ayudar se los re agradeceria!! subo foto del problema!! :)

Por un lado, como el numero de "arriba" es el mismo en ambos numeros combinatorios, para que sean iguales podría haberse cumplido para todos aquellos valores de x en los cuales lo de "abajo" fuera igual... por tanto 3^x= log3 x... Por definicion de logaritmos... 3^(3^x) = x... Y no tiene solucion....
La otra opcion es que 28 - 3^x = log3 x.... que no tiene solucion real... Te dejo un link con la solucion.. http://www.wolframalpha.com/widgets/view.jsp?id=148b5e39237cc2678c3cab6b524c3484
Siento no poder ayudarte más pero tu duda es universitaria y de cierto nivel...
Hola. tengo que analizar unas curvas para que se intersecten ortogonalmente:
f(x) = (raiz) (2-x^2) Con g(x)=x
que es que se intersecten ortogonalmente? que en su intersección formen un angulo de 90°? y como se hace, derivando y usando M1.M2=-1 ?
g´(x)=1 =m1
f´(x)= -x/(Raiz) 2-x^2
f´(1)= -1 =m2
m1.m2=-1
Asi esta bien?

Lo hiciste bien aunque la forma de expresarlo no es del todo correcta....
Si f(x)=√(2-x²)... f'(x)=-2x/(2√(2-x²))=-x/√(2-x²)...
Para que sean ortogonales... -x/√(2-x²)=-1... x=√(2-x²)... Y ahora tienes que resolver la ecuacion irracional... x²=2-x².. 2x²=2... x²=2... x=±1.
Eso significa que para x=±1, las funciones intersectan ortogonalmente. AbrazoS!
Hi µnicoos . Pueden ayudarme con un problema, creo que tiene que ver con sucesiones o progresiones. Por fa no se como llagar la longitud de los lados de los triángulos isósceles. Y gracias x la ayuda. Saludos y thanks.

La hipotenusa del primer tirangulo es h²=2²+2²=8.. h=√8=2√2....
En el segundo triangulo, cada uno de los triangulos pequeñitos, rectangulos, tendrán dos catetos iguales, de longitud 2√2/2=√2... La hipotenusa de esos triangulos, para poder repetir el proceso será h²=√2²+√2²=4... h=2... Y así sucesivamente.. Se trata de aplicar Pitagoras muchas veces seguidas. Espero te sirva...
Hola unicoos perdonen , alguien me podria ayudar con este ejercicio de matematica, no soy muy hábil con la trigonómetria. Muchas gracias.

Como t es igual al tiempo que ha pasado desde las 6 A.M., a las 8:AM. t=2...
La sombra a las 8 A.M. será igual a f(2), es decir tu fucion sustituyendo t por 2...
A las 2P.M.,t=8...
La sombra 6|cot(π/12).t| es igual a la altura del hombre (6 pies) cuando sean iguales... Por tanto 6|cot(π/12).t|=6.... |cot(π/12).t|=1.. ¿cuando la cotangente de un angulo es igual a 1 (o a -1)?...
Cuando el angulo es 45º, 135º, 225º o 315º... Por tanto deberás comprobar cuando (π/12).t=π/4... o cuando (π/12).t=3π/4.. (π/12).t=5π/4.....(π/12).t=7π/4.
La primera, te la hago yo... t=12π/(4π)=3 horas... Por tanto serán las 9.A.M.
Buenas. Estuve intentando calcular lo pedido del ejercicio, sin embargo tengo incertidumbres de como realizarlo y no llego al resultado. (en este caso es la identidad).
Saludos
Hola, porque no probas de escribir la matriz
|A B| *|2 3 |=|1 0|
|C D| . |1 2| . |0 1|
osea es hacer la matriz A, escribirla como general, yo le puse a, al valor A11, Y asi... realiza la multiplicacion de matrices, y te va a dar una matriz con letras y numeros, luego, igualas cada casillero a la matriz identidad, en un sistema de ecuaciones de cuatro ecuaciones con cuatro incognitas, luego podes resolverlo como quieras, o hacerlo triangulando una matriz.-
Si no entendiste te mando una foto, saludos