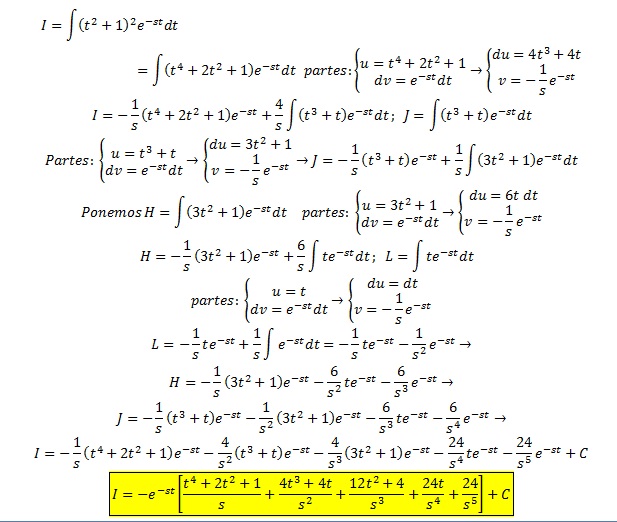
la integral de e^-x^3 no encuentro nada parecido y no se hacerla . si alguien pudiera decirme como proceder lo agradeceria

Hay una serie de integrales que no se pueden resolver por términos elementales. Algunas de ellas son muy importantes y tienen nombres propios: Integrales de Fresnel, Integral de Poison-Laplace, Seno integral, Coseno integral, etc. Ésta (la tuya) es una de ellas, pues en su resolución interviene la función "gamma" y, te aseguro, ya son palabras mayores. Dudo mucho qqu la resolvieras en bachilerato, con todos mis respetos. Lo que has puesto no es correcto, pues la derivada de (-1/3)*e^(-x^3) es (x^2)*e^(-x^3). Un saludo.
Si tengo una recta, con Vectro director (x1, y1, z1), y me dan otrs dos puntos independientes P y Q, Que debo hacer para sacar un plano que pase por Q y P y sea paralelo a la recta dada? Matematicamente como seria?

Uno de los vectores del plano es el vector director de la recta (v)
El otro vector del plano es el vector u=PQ
El vector normal del plano es el producto vectorial uxv=(a,b,c)
Pones el plano así:
ax+by+cz+d=0
Y "d" lo calculas obligando a que pase por P (esto es que las coordenadas de P cumplan la ecuación)

Puedes trabajar con haces de planos, aunque probablemente esto no lo has dado. Entonces:
Sabes que si un plano es ax+by+cz+d=0,el vector n=(a,b,c) es perpendicular al plano, y se llama vector normal.
Coges los vectores normales de los planos que determinan r y haces s¡u producto vectorial. Ya tienes v , el vector director de r.
Un punto P de esa recta lo consigues dando un valor a una de las incógnitas y resolviendo el sistema con las dos ecuaciones y las otras dos incógnitas.
Una vez conseguido esto, el plano pedido tiene como vector normal vxOP, siendo O(0,0,0), y su término independiente es 0, pues pasa por el origen,
me pueden ayudar con este ejercicio, es sobre volumenes de solidos
no se cual de las dos areas sombreadas usaria para formar el solido
y cual seria Y sub2 y Ysub1 para poder encontrar "r"
Hola unicoos me podrían ayudar:
Halla un vector de modulo 50 que sea perpendicular al vector a(8,6)
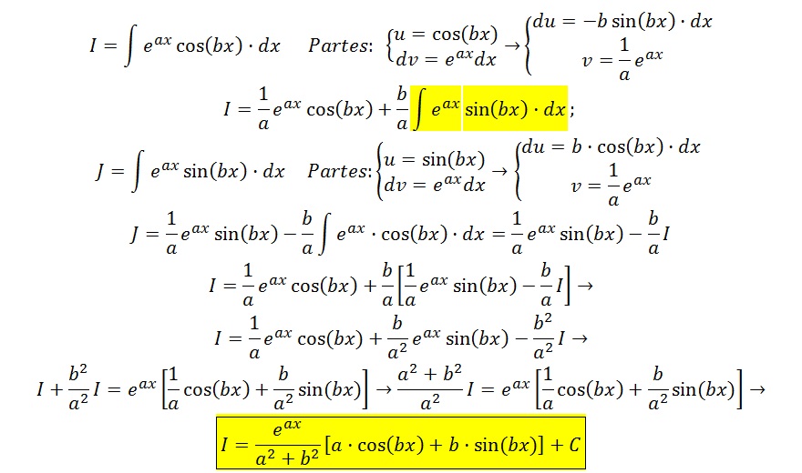
Me podrían decir la formula de reducción de la integral de e^au por cosbu du ? La necesito para poder hacer una integral que es e^-st por cos6t dt, se que se puede hacer por partes pero no me da, entonces prefiero usar la formula de reducción directamente.
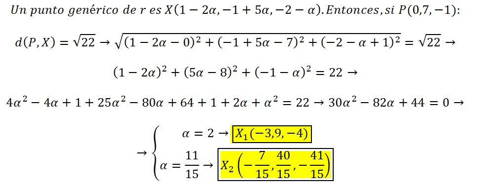
Hola Unicoos!! me podría ayudar con este ejercicio de rectas? lo estoy haciendo bien? la recta que no sabría construir es la que tiene que ser alabeada. Se agradece!
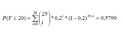
Hola a todos ¡
Estoy haciendo un ejercicio de probabilidades, y buscando un poco he encontrado un ejercicio parecido en el que se usa una variable aleatoria binomial, pero después de intentarlo repetidamente no logro saber como llega al resultado.
Adjunto una imagen a ver si me podéis ayudar a saber como llega paso por paso.
Muchísimas gracias por vuestra labor y Feliz San Jorge a todos