Foro de preguntas y respuestas de Matemáticas

logo beUnicoos
Los foros de unicoos se han unificado en nuestra nueva plataforma beUnicoos. Para dejar nuevas preguntas deberás hacerlo allí, donde además podrás encontrar nuevas asignaturas y herramientas para ayudarte más con tus estudios.

  • icon

    Patri
    el 23/4/16
    flag

    Hola,
    Estoy con el tema de probabilidad y no entiendo cuando un suceso es independiente o dependiente.
    Sobretodo cuando me piden determinar si un suceso es dependiente o no a partir de unos datos. Como por ejemplo, el siguiente ejercicio que lo hicimos en clase pero sigo sin entender nada.

    Sea A un suceso con 0 ≤ P[A] ≤1
    a) Puede ser A independiente de su contrario A'?
    b) Sea B otro suceto tal que B⊂A. Serán A y B independientes?
    c) Sea C un suceso independiente de A. Serán A y C' independientes?

    Gracias !

    replythumb_up0 voto/sflag
    icon

    Antonius Benedictus
    el 23/4/16

    Te explicamos, Patri:

    thumb_up0 voto/sflag
    icon

    Patri
    el 24/4/16

    Vale, creo que lo entiendo un poco más. Gracias

    thumb_up0 voto/sflag
  • icon

    José Manuel
    el 23/4/16
    flag

    Necesito ayuda con este:

    replythumb_up0 voto/sflag
    icon

    Antonius Benedictus
    el 23/4/16

    José Manuel: la regresión múltiple nos desborda un poco. Compréndelo.

    thumb_up0 voto/sflag
  • icon

    Andrea Diosdado
    el 23/4/16

    Hola!!!! ME podrian decir como se halla una asíntota de una función? Graciassssss

    replythumb_up0 voto/sflag
    icon

    E
    el 23/4/16

    thumb_up1 voto/sflag
    icon

    jose daniel
    el 23/4/16

    las asintotas verticales se obtienen donde no exista la funcion hacendo los limites laterales en ese valor y el resultado tiene que ser mas o menos infinitos
    las asintotas horzontales se obtienen haciendo el lim de mas menos infinito.
    las asintotas oblicuas es la recta y=ax +b . para obtener a lim de mas menos infinitode fx/x d y para sacar b lim de mas menos infinito de fx -ax

    thumb_up1 voto/sflag
  • icon

    Deidara Stick.
    el 23/4/16

    Hello µnicoos que tal. Soy nueva. Me podrían de favor ayudarme con un problema de rotación y traslación, ese el tema, rotación y traslación de gráficas, curvas, rectas, puntos, etc... Determina el ángulo que deben girar los ejes para que la transformada de la ecuación 7x²-6(3^(1/2))xy+13y²-16=0 carezca de término en xy. Espero esa ayuda, se los quiere. Les deberé un montón. Gracias

    replythumb_up0 voto/sflag
    icon

    César
    el 23/4/16

    Va Deidara , revisa las operaciones

    thumb_up0 voto/sflag
  • icon

    Sandy Murillo S...
    el 23/4/16

    Hola amigos unicoos, nuevamente ruego vuestra generosa ayuda, por fa, quiero que me ayudeís corrigiendo lasbafirmaciones que estan mal y a la vez que me expliqueís porque está mal en el caso de haberme confundido, V (Verdadero) o F (Falso). Ahh no he contestado el literal q. , no lo comprendo, de favor tambien pido que me expliqueís ESE, aunque me parece que ea verdadera esa afirmacion. Muchisisisismas gracias, siempre me ayudaís a entender, practicar y aprobar. Mil gracias de antemano. Thanks.

    replythumb_up0 voto/sflag
    icon

    Antonius Benedictus
    el 23/4/16

    Te corregimos, Sandthis:

    thumb_up0 voto/sflag
  • icon

    Toby
    el 23/4/16

    Hola maestros de unicoos, pido otra vez vuestra ayuda, ando estudiando y me dio un mayor aliento y entusiasmo. Tengo dudad:
    ¿Qué difrencia existe entre sucesión. serie, progresión?
    ¿Cómo puedo saber si una sucesión esta acotada superior o infediormente?
    ¿La sucesion f(n)=1/(n)^2 por qué número está acotada?, ¿Es creciente o decreciente?,
    Son las preguntas que me salieron viendo unos problemas de mi texto. Ojala que esten bien estructuradas.
    Le agradezco al maestro que me ayude por la colaboración y por prestar un tiempito aquí. Gracias.

    replythumb_up0 voto/sflag
    icon

    Antonius Benedictus
    el 23/4/16

    Te ayudamos, Toby:

    thumb_up0 voto/sflag
    icon

    Antonius Benedictus
    el 23/4/16

    Una serie es otro caso particular de sucesión.
    A partir de una sucesión dada, la serie correspondiente es una sucesión en la que el término n-ésimo es la suma de los n primeros términos de la sucesión dada.

    thumb_up0 voto/sflag
  • icon

    Toby
    el 23/4/16

    Hola unicoos, por fa ayudenme hallando una solución a los ejercicos que no logro resolver, tengo la de problemarios de tareas a full, para rematar tengo una semana para aprender sucesiones y hacer bien la evaluación, va ir limites de sucesiones, progresiones, logaritmos y mantisas, y todo lo que se relaciona con sí mismo.
    ¿Cúantos términos de cada sucesión quedan por fuera de la vecindad del límite de la sucesión, para una medida ε=0,1?
    ¿Cúantos términos de cada sucesión quedan por fuera de la vecindad del límite de la sucesión, para una medida ε=0,01?
    ¿Cúal de las sucesiones del ejercicio 3 converge más rápido, es decir, para diferentes valores de ε, cual deja menos términos fuera de la vecindad?

    Le doy gracias de antemano al maestro que me de ese empujonsito. Y saludos. Att: Toby.

    replythumb_up0 voto/sflag
    icon

    Antonius Benedictus
    el 23/4/16

    Toby, te hacemos un apartado (el más difícil). El trabajo es tuyo, Toby:

    thumb_up0 voto/sflag
  • icon

    Eleazar
    el 23/4/16

    Buen día. Alguien me puede decir que es mejor aprender primero: factorizacion o ecuaciones lineales de primer grado con problemas?, Gracias

    replythumb_up0 voto/sflag
    icon

    Antonius Benedictus
    el 23/4/16

    Ambas cosas son igualmente básicas e imprescindibles.

    thumb_up0 voto/sflag
  • icon

    Sandy Murillo S...
    el 23/4/16

    Hola de nuevo unicoos, de nueco pidiendo vuestra ayuda, jejee estoy en viendo sucesiones y series númericas, ya para entrar a ver límites, necesito que me ayudeís con este ejercicio por favor. El ejercicio dice asi:
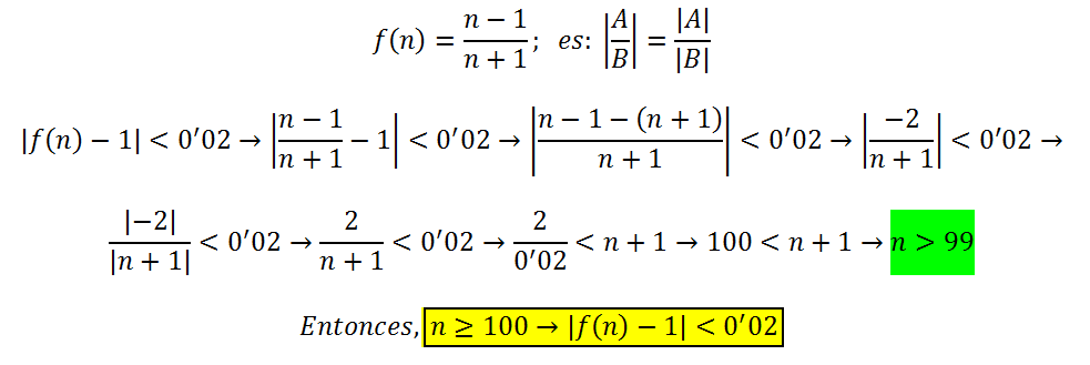
    ●La sucesión f(n)=(n-1)/(n+1) toma valores próximos a 1 cuando nes arbitrariamente grande. ¿Cúantos términos se necesitan para que la diferencia |f(n)-1| sea menor que 0,02.
    Y si me podrían ayudar con un material extra, vídeos,libros, con el tema de sucesiones y límites de sucesiones porque temgo uno de ingeniería pero habla de convergencia, acotación, pero no logro resolver los problemas por mi cuenta.
    Muchas gracias de antemano. Mil gracias. Un fuerte y afectuoso abrazo a ese unicoo. Grazie. Saludos.

    replythumb_up0 voto/sflag
    icon

    Antonius Benedictus
    el 23/4/16

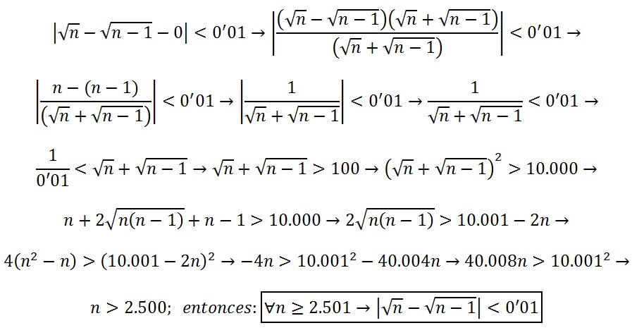
    Aquí estamos, Sandthis:

    thumb_up0 voto/sflag