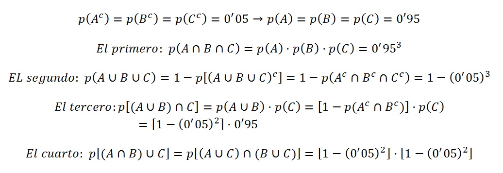
Hola, aquí estoy de nuevo con otro ejercicio de probabilidad, me gustaría saber si he obtenido correctamente las probabilidades o si se obtendrían de otra forma. Un saludo y gracias.

Un conjunto abierto (o “sin fronteras”) es aquél en el que todos sus puntos son interiores, o sea, que, si un punto está en él, está también necesariamente todo un entorno (o disco, o bola) centrado en dicho punto (aunque sea un entorno minúsculo). Un conjunto es conexo (no separado) cuando se pueden unir dos cualesquiera de sus puntos por una curva continua totalmente contenida en el conjunto. Entonces, son dominios: i), iii), v), vi).
i) A es todo el plano complejo,excepto la semirrecta +OX. Es abierto y conexo.
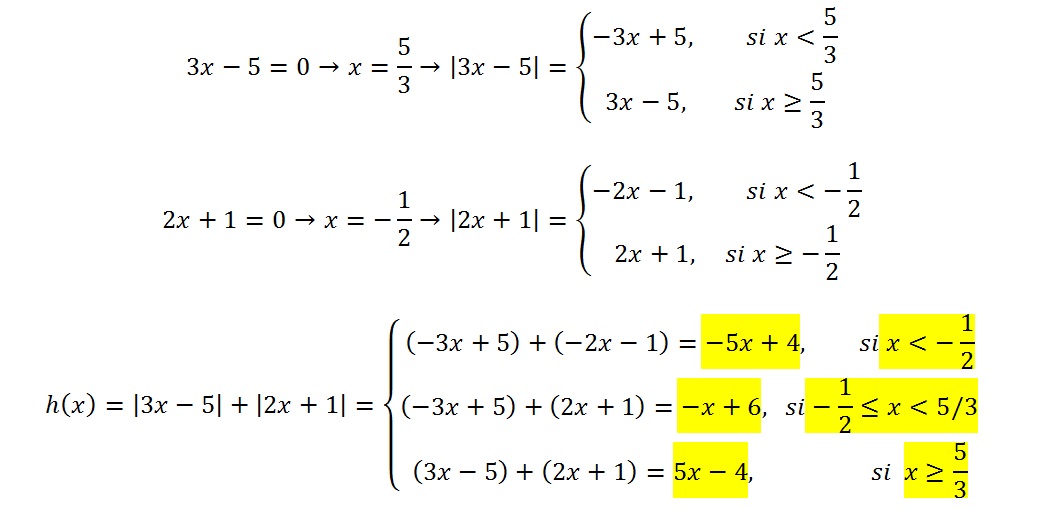
hola unicos pues tengo un problema al escribir esta funcion a trozos ya que cuando la grafico me da que es negativa en algunas partes me podeis ayudar
buen dia unicos, reciban de antemano un cordial saludo. dispongo apenado de su valioso tiempo con el fin de presentarles una duda que poseo en estos momentos y que les pido que me ayuden a despejar, en la imagen abjunta se encuentra un enunciado, en el cual me preguntan si es verdadero o falso, de ser verdadero debo demostrarlo, mientras que de ser falso debo dar un contra-ejemplo y explicar. sin mas que decir agradesco su tiempo y disculparme por las molestias
Hola, tengo unas dudas con los apartados d y e, pero tampoco sé si los demás apartados estarán bien.
Halla, de todas las formas que conozcas, las ecuaciones de las rectas en cada uno de los siguientes casos:
a) Pasa por el punto P(4,-2) y tiene por vector director v(-1,3).
b) Pasa por los puntos P(-2,-5) y Q(2,1).
c) Pasa por el punto A(-3,4) y tiene pendiente m=3.
d) Pasa por el origen de coordenadas y forma un ángulo de 45º con el eje OX.
e) Pasa por el punto (1,-3) y es paralela al eje de abscisas.
Buenos días me podrían ayudar con esta función y=(8(2-x)/(x^2+x-6))+1, necesito sacas dominio, asíntotas, cortes, paridad y signos.
Desde ya muchas gracias