Hola, estoy atascado en este ejercicio de integrales triples y tengo varias dudas. ¿Me podrían ayudar por favor?
En primer lugar, creo que es un cilindro dentro de una esfera, así que para calcular su volumen que le corta el plano z=0. ¿Qué debería usar, coordenadas esféricas o cilíndricas ? Para que fuera más fácil y sencillo.
Y también, ¿ cuales serían sus límites de integración ?
Calcular el volumen en el recinto:
X² + 2y² = 2 , z = 0 , x + y + 2z = 2
Hola tengo una duda, ayuda por favor
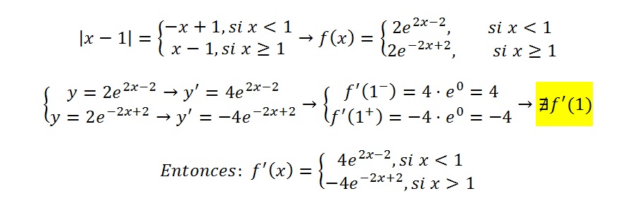
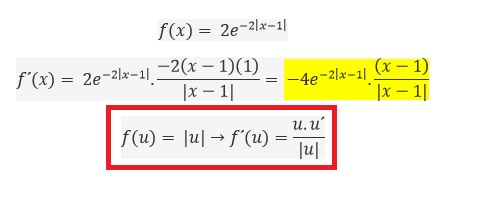
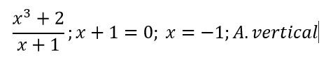
decirme si ésto está bien y por favor hallarme la A.H y la Oblicua si puede.
un saludo y muchas gracias
Buenas podrían, ayudarme en esta integral por favor sqrt(1+sec^4x)) dx
Hola, me ayudarian con esta demostracion?? Me dice " Demostrar que el producto entre dos matrices es conmutable si una de ellas es escalar"
Muchas gracias
Buenas unicoos disculpen me pueden ayudar por favor con este ejercicios tengo problemas con el despeje
y =4sen(2pi t +pi/3) ,,,,, resolver la ecuación para t ,después darle otros valores y graficarla

Echale un vistazo. Es casi casi identico... Representacion de una funcion trigonometrica
Espero te sirva. Besos!