Foro de preguntas y respuestas de Matemáticas

logo beUnicoos
Los foros de unicoos se han unificado en nuestra nueva plataforma beUnicoos. Para dejar nuevas preguntas deberás hacerlo allí, donde además podrás encontrar nuevas asignaturas y herramientas para ayudarte más con tus estudios.

  • icon

    Victor Javier Venegas Pezo
    el 19/4/16

    Me podrian ayudar con la derivada de esta funcion?

    replythumb_up0 voto/sflag
    icon

    David
    el 19/4/16

    Hola Victor, te dejo mi solución

    thumb_up0 voto/sflag
  • icon

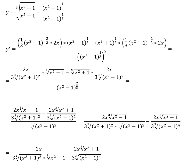
    Victor Javier Venegas Pezo
    el 19/4/16

    Me podrian ayudar con la derivada de esta funcion por favor?

    replythumb_up0 voto/sflag
    icon

    César
    el 19/4/16

    Prueba con esto a^(f(x)) →d/dx= a^(f(x) . ln(a) .f´(x)

    thumb_up1 voto/sflag
  • icon

    Victor Javier Venegas Pezo
    el 19/4/16

    Hola, me podrian ayudar con la derivada de esta funcion, por favor?

    replythumb_up0 voto/sflag
    icon

    César
    el 19/4/16

    d/dx (ln(u))=u´/u
    Derivadas
    Derivadas

    thumb_up0 voto/sflag
  • icon

    Arnaldo
    el 19/4/16

    Hola muy buenas noches disculpen me podrian ayudar con este ejercicio, es de sistema de ecuaciones , ando usando el de sustitución sin embargo no me da igual al de mis compañeros , quisiera por favor si me subirian sus respuestas, un amigo comenta que me equivoque al cambiar de signos :/

    replythumb_up0 voto/sflag
    icon

    antonella
    el 19/4/16

    Brindanos lo que has hecho ,para decirte en que parte te confundiste.

    thumb_up0 voto/sflag
    icon

    Francisco González
    el 19/4/16

    Compañero único, ¿y tus pasos dónde están? Comparte con nosotros, así aprendemos recíprocamente.

    thumb_up0 voto/sflag
  • icon

    Poli Heliot
    el 19/4/16

    Hola, Alguien tiene algun apunte de funciones algebraicas racionales e irracionales y tambien trascendentes? Gracias.

    replythumb_up0 voto/sflag
    icon

    David
    el 20/4/16

    Espero que alguien se anime a ayudarte con eso. Yo no tengo ningun apunte sobre ello, lo siento...

    thumb_up0 voto/sflag
  • icon

    Ivan
    el 19/4/16

    hola, me ayudan con el e)? el lim de x-> -2 por izquierda en el wolfram alpha me da que no existe pero ami me da que es infinito.

    replythumb_up0 voto/sflag
    icon

    Antonius Benedictus
    el 19/4/16

    En un punto donde la función es continua y el límite que define la derivada es +infinito, la función NO es derivable. Se trata de un punto cuspidal (una especie de "aguja"). Grafica la función y obsérvala en x=-2.

    thumb_up0 voto/sflag
    icon

    Ivan
    el 19/4/16

    gracias

    thumb_up0 voto/sflag
  • icon

    John
    el 19/4/16

    hola,porfavor
    necesito una ayuda con este problema, gracias
    en la primera linea falto : y la relacion R definida

    replythumb_up0 voto/sflag
    icon

    Antonius Benedictus
    el 19/4/16

    Te va la ayuda, John.

    thumb_up0 voto/sflag
  • icon

    Gabriel Andrés Dehner
    el 19/4/16

    Buenas, no me sale esta integral, agradeceré su ayuda! (1-x^2)^(1/2). Desde ya graciasss! Saludos desde Argentina!

    replythumb_up0 voto/sflag
    icon

    Hugo
    el 19/4/16

    Por partes
    u=(1-x^2)^(1/2)
    dv=dx

    thumb_up0 voto/sflag
    icon

    antonella
    el 19/4/16

    Aca te muestra paso a paso por el metodo de sustitucion trigonometrica
    https://es.symbolab.com/solver/indefinite-integral-calculator/%5Cint%20%20%5Cleft(1-x%5E%7B2%7D%5Cright)%5E%7B%5Cleft(1%2F2%5Cright)%7Ddx/?origin=button

    thumb_up0 voto/sflag
  • icon

    leo
    el 19/4/16

    Buenas noches estoy intentando sacar los cortes con los eje x e y para el análisis de función y se me complica con esta: y = x . ln (x). Si me podrían dar una mano les agradecería. Muchas gracias

    replythumb_up0 voto/sflag
    icon

    antonella
    el 19/4/16

    Los cortes en el eje X:
    y=0
    0= x . ln (x)->x=0 v lnx=0
    lnx=0->e^0=x-->x=1
    los corte serian (0,0);(0,1)
    Los cortes en el eje Y:
    x=0
    y =0 . ln (0)-->y=0
    los corte serian (0,0)

    thumb_up0 voto/sflag
    icon

    antonella
    el 19/4/16

    La grafica de esa funcion seria asi

    thumb_up0 voto/sflag
  • icon

    sabrina
    el 19/4/16

    hola pues me podeis ayudar

    replythumb_up0 voto/sflag
    icon

    antonella
    el 19/4/16

    Su dominio es todos los Reales ,dado que no hay una raiz ,no tiene un denominador ,etc
    y=x-5-6=x-11 , x ≥5
    y=-(x-5)-6=-x-1; x<5
    No existe alguna restriccion para x.

    thumb_up1 voto/sflag
    icon

    antonella
    el 19/4/16

    Esta es su grafica =)

    thumb_up1 voto/sflag
    icon

    Francisco González
    el 19/4/16

    Son todos lo reales, observa que lo que está dentro de las barras es y un polinomio de primer grado solamente.

    thumb_up0 voto/sflag