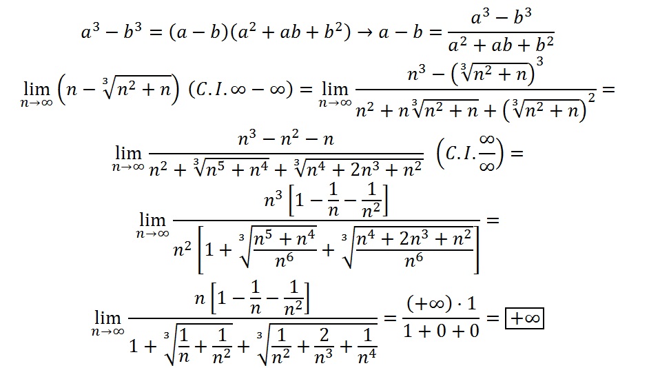
Buenas tardes. Me gustaría que me echaran una mano para poder acabar este problema que les planteo. Mi procedimiento se les adjunto en la imagen.
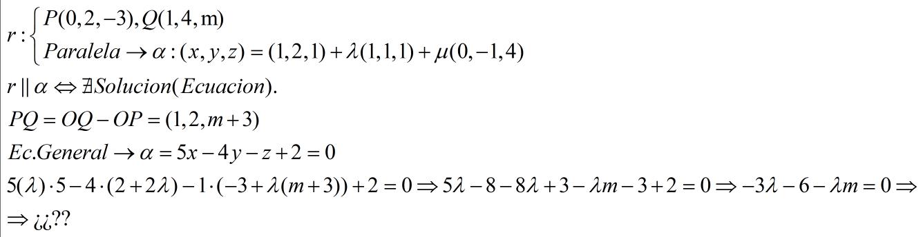
Me piden que halle m para que la recta que pasa por los puntos (0,2,-3), (1,4,m) y sea paralela al plano (x,y,z)=(1,2,1) + λ(1,1,1) + μ(0,-1,4)
Buenas tardes a todos. Hoy les daré la brasa con Geometría, lo siento...tengo muchas dudas...
¿Cómo podría averiguar la posición relativa de dos rectas que vienen definidas a partir de la intersección de dos planos?
Un ejercicio de este estilo podría ser el siguiente:
Recta r definida por: α= 2x+y-3z=7; β=x-2y+3z=-1
Recta s definida por: γ:-x-3y+6z=-8; δ:5y-9z=9
Perdón por todas las molestias...Muchas gracias por su tiempo, les estoy muy agradecido.
Buenas tardes, tengo muchas dudas a la hora de analizar e intentar hacer ejercicios como el siguiente:
Halla la ecuación de la recta que pasa por (1,1,1), es coplanaria con la recta (x,y,z)=(1,0,0)+λ(1,2,3), y es paralela al plano -x + 2y + z = 0
¿Conocéis de algun video de Unicoos dónde lo explique?
¡Muchas gracias!

Coges A(1,1,1)∈r (recta pedida) .
Si r//s ≡(x,y,z)=(1,0,0)+λ(1,2,3), entonces, dr=(1,2,3) y,como r es paralela al plano -x + 2y + z = 0, ha de ser dr perpendicular al vector (-1,2,1) (el normal del plano).
(1,2,3·(-1,2,1)=-1+4+3≠0 (cosa, pues que no sucede). Entonces r y s se cortan.
Sea B(1+λ,2λ,3λ)∈s, que va a ser el punto de corte con r.
Haz el vector AB y obliga a que sea perpendicular a vector normal del plano. así obtendrás λ.
La recta pedida pasa por A y su dr=AB.
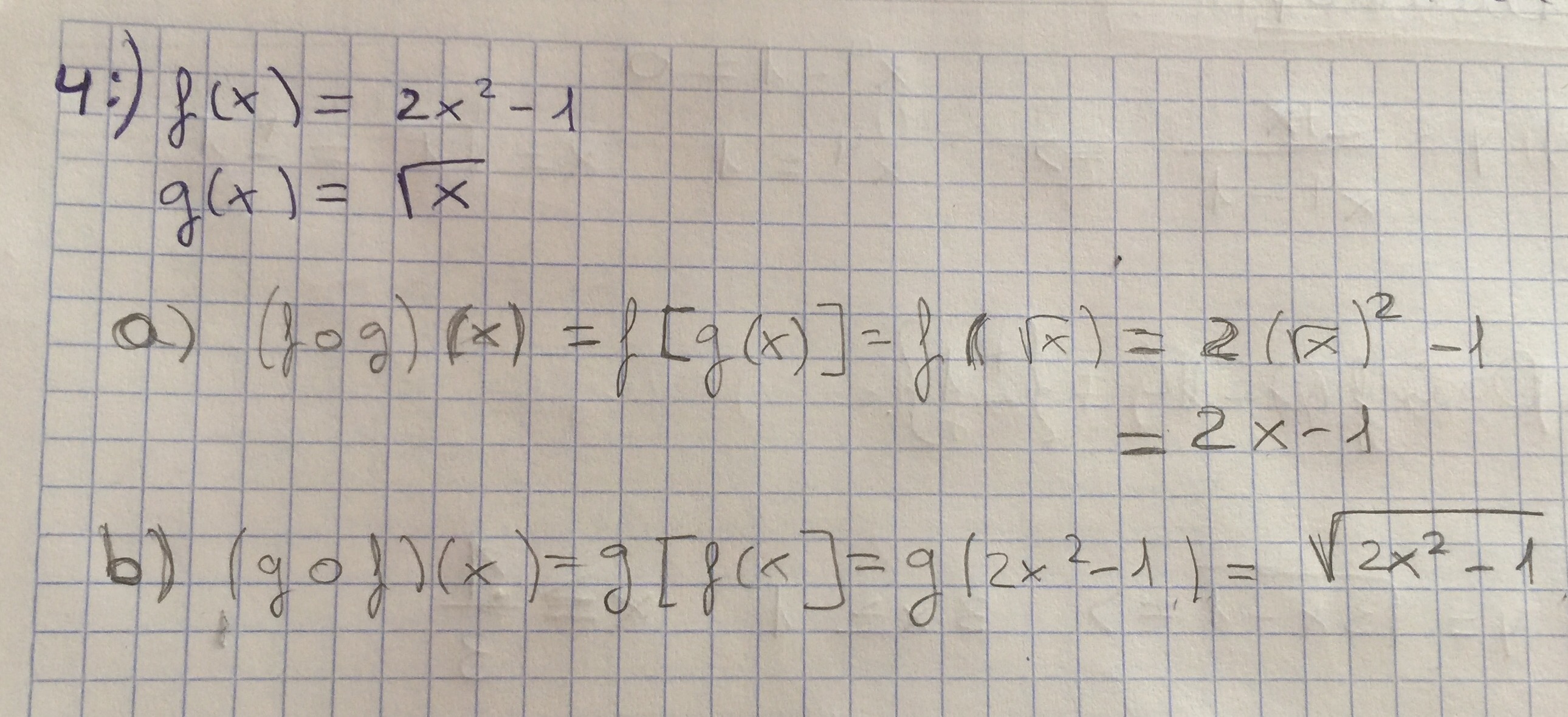
Me podéis explicar la acotación de una función? He visto un vídeo de unicoos pero no lo pillo del todo. Gracias!

Se trata de dibujar la gráfica y ver entre que valores de "y" existe la función... Rango, recorrido o imagen de una funcion
También puedes hacerlo hallando el recorrido... Composicion de funciones y Funcion Inversa
Si tienes algunda duda concreta sobre algún ejercico concreto, te sugiero nos lo dejes en el foro junto con todo aquello que consigas por ti misma. Besos!
Muy buenas tardes a todos.Tengo dudas para resolver este ejercicio de geometría de 2º de Bachiller. Me piden que pruebe que las tres rectas dadas se cortan en un punto, y posteriormente me dicen que halle las coordenadas del puto de corte.
Lo que he pensado yo es encontrar el punto de corte de las rectas r y s, y luego una vez tenga ese punto, ponerlo en la ecuación t para ver si la satisfce.
¡Muchas gracias a todos por su tiempo!
Hay alguna manera de averiguar si mis resultados están bien? o sino, alguien me puede decir si lo he hecho bien o me he equivocado? gracias
Hola tengo dudas con un solido re revolucion,. Me queda esa región y luego al plantearlo me quedan dos volúmenes, uno de ellos negativo..