Foro de preguntas y respuestas de Matemáticas

logo beUnicoos
Los foros de unicoos se han unificado en nuestra nueva plataforma beUnicoos. Para dejar nuevas preguntas deberás hacerlo allí, donde además podrás encontrar nuevas asignaturas y herramientas para ayudarte más con tus estudios.

  • icon

    penelope
    el 15/4/16

    alguien me podria decir en pocas palabras
    ¿que es una EDP (ecuacion en diferenciales parciales)?
    ¿para que sirve?
    algun ejemplo de EDP con condiciones iniciales y condiciones frontera

    replythumb_up0 voto/sflag
    icon

    César
    el 15/4/16

    Mirate estos apuntes
    http://www.uhu.es/sixto.romero/EDP_libro.pdf

    thumb_up0 voto/sflag
  • icon

    Jønathan Pachón
    el 15/4/16

    hola, podrian ayudarme con este ejercicio de inecuaciones |x-2|

    replythumb_up0 voto/sflag
    icon

    César
    el 15/4/16

    Inecuaciones
    Inecuaciones
    Inecuaciones y sistemas

    Mirate los videos y nox cuentas si has podido resolverla

    thumb_up1 voto/sflag
  • icon

    Ivan
    el 15/4/16

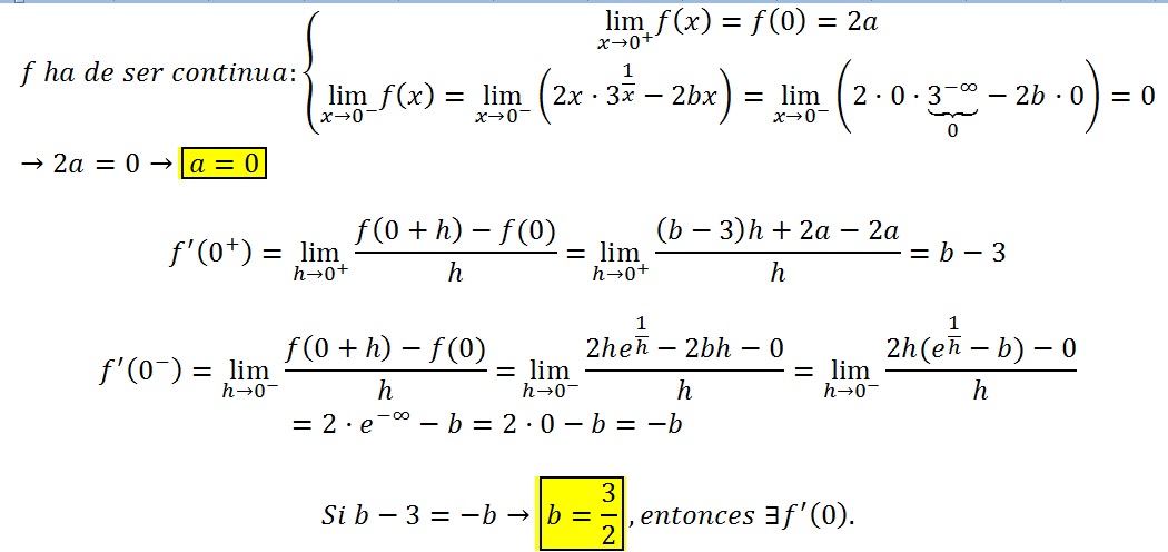
    hola, podrian ayudarme con el 10 b)? quiero aplicar la definicion de derivada para el 0 por los negativos en la funcion sxe^1/x-2bx cuando quiero sacar f(0) me queda inf.0, como tendria que hacer en ese caso?

    replythumb_up0 voto/sflag
    icon

    Antonius Benedictus
    el 15/4/16

    Si x→0^-, entonces 1/x→-∞, por lo que 3^(1/x)→0:

    thumb_up0 voto/sflag
    icon

    Ivan
    el 15/4/16

    muchas gracias

    thumb_up0 voto/sflag
  • icon

    Jubegon
    el 15/4/16

    Hola: He copiado de un examen del CEAD Las Palmas el sistema de ecuaciones siguiente , para enseñarselo a mi nieto que tiene que sacar la ESO Mucha Gracias
    2X - 3Y = 5 Método sustitución: X =(5 + 3Y) /2 ; 2 * ((5 + 3Y)/2) - 8 = 3 + 3Y
    2 (X - 4 ) = 3 + 3Y (*) ( 10 + 6Y)/ 2 - 8 = 3 +3Y
    10 + 6Y - 16 = 6 + 6Y despejado el 2 del denominador
    (*) 2X - 8 = 3 + 3Y 6Y - 6Y = 6 + 16 - 10
    0Y = 12 ¿? Por los tres métodos da lo mismo ¿Es un absurdo, no?

    replythumb_up0 voto/sflag
    icon

    César
    el 15/4/16

    solo veo una ecuación


    2x-3y=5


    la otra la intuyo y es


    2x-8=3+3y ( si no es así , no sigas leyendo :-))


    tenemos entonces


    2x-3y=5


    2x-3y=11


    lo que es absurdo ya que el primer miembro es igual en ambas ecuaciones

    thumb_up1 voto/sflag
    icon

    Jubegon
    el 15/4/16

    Las ecuaciones son : Lo que ocurrió que al enviar el planteamiento se unieron todos los datos. Gracias por la respuesta
    2X - 3Y = 5
    2( X - 4 ) = 3 + 3Y

    thumb_up0 voto/sflag
    icon

    Jubegon
    el 15/4/16

    La solución que hice fue la siguiente:

    1ª ecuación: X = (5 + 3Y)/2

    Sustituimos en la 2ª

    2((5 + 3Y)/2) - 8 = 3 + 3Y

    (10 + 6Y)/2 - 8 = 3 + 3Y

    10 + 6Y - 16 = 6 + 6Y (eliminamos el 2 del denominador)

    6Y - 6Y = 6 +16 - 10

    6Y - 6Y = 12

    0 Y= 12 esto es absurdo. Gracias

    thumb_up0 voto/sflag
  • icon

    Marta
    el 15/4/16

    Hola Unicoos! A ver, en el primer apartado del ejercicio 3 no sé como se hace la parametrización (es decir, no sé hallar los límites de integración). En clase nos han dicho cuales son, pero a mi lo que me interesa es saber como averiguarlos, porque evidentemente en el examen no me los darán... Alguien me podría explicar como se obtienen? Y bueno, el primero, que es entre 0 y 1, creo que lo entiendo, jajajaja.
    Muchas gracias!

    replythumb_up0 voto/sflag
    icon

    César
    el 15/4/16

    Tienes que dibujar el recinto y hallar los puntos de corte, en este caso son muchos planos y resulta un poco dificil verlo con claridad. Sale un recinto hacia las z<0 en forma de piramide creo , si no hay error que su vertice esta en el punto (1,1,-2).
    Intenta dibujar los planos.

    thumb_up1 voto/sflag
  • icon

    YANET
    el 15/4/16

    Ejercicio 3)
    EJERCICIO 2 ) Define raíz de una función polifónica e indica si -3 es raíz de la función
    f (x) = 2x^3 - x^2 -16x +3
    una consulta yo hice Ruffini probando con -3 y me da resto de -12, así que no es raíz, ese era el ejercicio, pero cuando intente encontrarle la raíz, aunque no lo pedía el ejercicio, solo le pude encontrar una raíz por Ruffini; X = 3 que haciendo la sustitución esta bien y después quise resolver la ecuación cuadrática que me quedo que fue 2x^2 + 5x -1 = 0 y no pude hallar otras raíces o sea me da un numero decimal como raíz pero al querer hacer la sustitución en la ecuación original no me da cero. Y por Ruffini probé los múltiplos de -1 (1; Y -1) y no me da resto cero, me pueden ayudar en que me estoy equivocando, porque se supone que tiene que tener tres raíces, gracias.

    replythumb_up0 voto/sflag
    icon

    César
    el 15/4/16

    2x^3 - x^2 -16x +3=(x-3)(2x^2 + 5x -1)=0,
    en cuanto al polinomio 2x^2 + 5x -1= no tiene raices enteras , no te has equivocado en nada.

    thumb_up1 voto/sflag
  • icon

    Pedro
    el 15/4/16

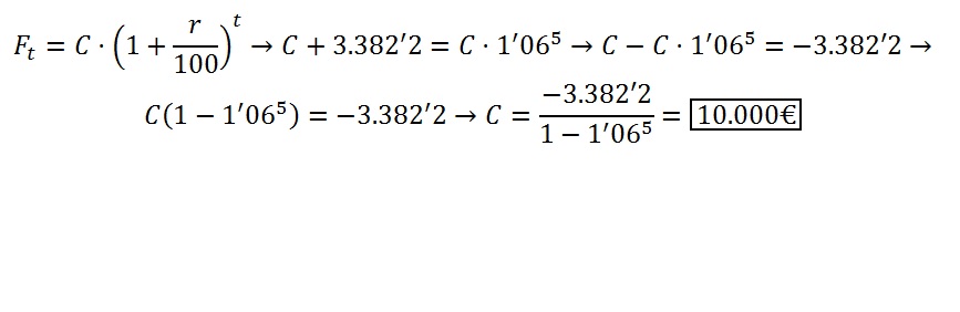
    Buenos días a ver si me pueden ayudar con este problema de mates financieras.un banco concedió un préstamo a un interés del 6% durante 5 años y al cabo de ese tiempo el interés acumulado esbde 3382'25€ que capital se presto.gracias me lía el concepto de interés acumulado ya que si fuera capital optenido no tendría problema.C5=C0+(1+0.06)^5

    replythumb_up0 voto/sflag
    icon

    Antonius Benedictus
    el 15/4/16

    Te va, Pedro:

    thumb_up1 voto/sflag
  • icon

    fabian
    el 15/4/16
    flag

    Hola una consulta, quería saber si tienes algún video o página para recomendarme, para realizar y comprender este tipo de ejercicio, este ya lo tengo resuelto, pero me gustaría ver la teoría como se realiza, o por que titulo buscarlo, ya que en otra consulta me recomendaste un video y me sirvió montón. gracias.

    replythumb_up0 voto/sflag
    icon

    David
    el 17/4/16

    Me encantaría poder ayudarte de nuevo, pero no respondo dudas universitarias que no tengan que ver específicamente con los videos que ya he grabado como excepcion. Lo siento de corazón… Espero lo entiendas

    thumb_up1 voto/sflag
    icon

    fabian
    el 19/4/16

    COMO UNIVERSITARIO!??? ESTO ES DE QUINTO AÑO DE SECUNDARÍA, CREO QUE EN ESPAÑA SERÍA SEGUNDO DE BSACHILLERATO, NO ES UNIVERSITARIO?? Y SI LO ES ENTONCES CON RAZON NO LO ENTIENDO
    (por mas que ya tenga el ejercicio hecho: Los diferentes sumandos son (4-5), (8-5) , (12-5) ,(16-5)
    separandolos tenemos 4,8,12,16 → 4+8+12+16 ... =4(1+2+3+4+....n)=4(½(1+n)n)=2n(n+1)
    La otra parte -5 -5-5...--5 =-5n
    sumando ambas 2n(n+1)-5n=2n²+2n-5n=2n²-3n donde a=2 y b=-3

    thumb_up0 voto/sflag
  • icon

    Raúl
    el 15/4/16

    hola, buenas noches de nuevo, tengo una dudilla sobre este problema de teoria de conjuntos, aunque parece que no esta dentro del bachillero y menos de la eso, me ayudarian mucho a resolverlo.
    En un grupo de 165 estudiantes, 8 toman calculo,psicologia y computacion; 33 toman calculo y computacion; 20 toman calculo y psicologia; 24 toman computacion y psicologia; 79 estan en calculo; 83 en psicologia y 63 en computacion. ¿ Cuantos toman exclusivamente psicologia, calculo y computacion?
    Les envio esta imagen como parte de mi procedimiento con el fin de llegar a los resultados que se piden, ojala me pudieran orientar, no se si este bien.

    replythumb_up0 voto/sflag
    icon

    antonella
    el 15/4/16

    No serian 8? serian los alumnos que toman psicología,calculo y computación a la vez .
    O la pregunta seria asi ¿ Cuantos toman exclusivamente psicologia?,¿ Cuantos toman exclusivamente calculo?,¿ Cuantos toman exclusivamente computacion?

    thumb_up1 voto/sflag
    icon

    Raúl
    el 15/4/16

    esta ¿ Cuantos toman exclusivamente psicologia?,¿ Cuantos toman exclusivamente calculo?,¿ Cuantos toman exclusivamente computacion?

    thumb_up0 voto/sflag
    icon

    Antonius Benedictus
    el 15/4/16

    Esto es lo que podemos decir:

    thumb_up1 voto/sflag
  • icon

    juan 2326
    el 15/4/16

    Hola buenas noches, me podrian ayudar con estos ejercicios de limites con raiz, Muchas Gracias.

    replythumb_up0 voto/sflag
    icon

    antonella
    el 15/4/16

    En la primera divide al numerador y denominador por √x y en la segunda multiplicar al numerador y denominador por 2^(-x) y recuerda que (1/2) elevado al infinito es 0

    thumb_up1 voto/sflag