Sabiendo que sen a = -1/2 y pertenece al 3er cuadrante.
Cos(180°+a)
la solución en el libro es √3 / 2, pero eso es lo que sale al despejar cos a, no sé si tengo algo mal pero me sale lo mismo pero por -1 del cos de 180

Planteas la expresión del coseno en función del seno (recuerda que el coseno toma valores negativos en el tercer cuadrante), y queda:
cos(a) = -√( 1-sen2(a) ) = -√( 1-(-1/2)2 ) = -√( 1-1/4 ) = -√( 3/4 ) = -√(3)/√(4) = -√(3)/2 (1).
Luego, planteas la expresión cuyo valor quieres averiguar, y queda:
cos(180°+a) =
aplicas la identidad trigonométrica del coseno de la suma de dos ángulos:
= cos(180°)*cos(a) - sen(180°)*sen(a) =
reemplazas los valores de las funciones para 180° (cos(180°) = -1 y sen(180°) = 0), y queda:
= -1*cos(a) - 0*sen(a) =
resuelves términos, y queda:
= -cos(a) - 0 =
cancelas el término nulo, y queda:
= -cos(a) =
reemplazas el valor señalado (1), y queda:
= -(-√(3)/2) =
resuelves signos, y queda:
= √(3)/2.
Espero haberte ayudado.
Ayuda a resolver este problema de probabilidad (Teorema De Bayes)
Un terapeuta está interesado en estudiar la relación existente entre lesiones en los pies y la posición que tiene cada jugador. Sus datos, reunidos en un periodo de tres años, se resumen en la siguiente tabla:
Dado que un jugador elegido al azar tenga una lesión en el pie, ¿Cuál es la probabilidad de que éste juegue a) en la línea ofensiva, b) en la línea defensiva, c) como backfield ofensivo y d) como backfield defensivo?![]()

Observa que tienes en total:
|N| = 145 jugadores,
y las cantidades de jugadores en cada línea son:
|Lo| = 45,
|Ld| = 56,
|Bo| = 24,
|Bd| = 20.
Observa que las cantidades de jugadores lesionados que juega en cada una de las líneas son:
|L y Lo| = 32,
|L y Ld| = 38,
|L y Bo| = 11,
|L y Bd| = 9;
y observa que la cantidad total de jugadores lesionados es:
|L| = 90.
Luego, observa que debes calcular las probabilidades condicionales correspondientes a cada línea, dado que el jugador está lesionado, por lo que tienes:
a)
p(Lo/L) = |L y Lo|/|L| = 32/90.
b)
p(Ld/L) = |L y Ld)/|L| = 38/90.
c)
p(Bo/L) = |L y Bo|/|L| = 11/90.
d)
p(Bd/L) = |L y Bd|/|L| = 9/90.
Espero haberte ayudado.

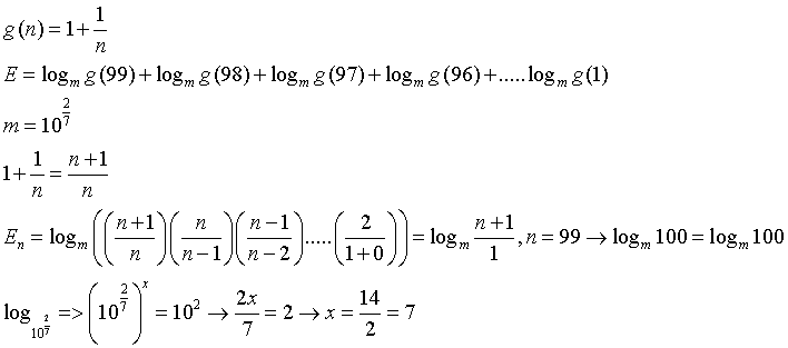
Tienes la expresión (observa que reordenamos términos):
E = logm(1+1/1) + logm(1+1/2) + logm(1+1/3) + ... + logm(1+1/99),
resuelves los argumentos de los logaritmos, y queda:
E = logm(2/1) + logm(3/2) + logm(4/3) + logm(5/4) + ... + logm(100/99) +
Luego, planteas las expresiones de las sumas parciales, y queda:
E1 = logm(2/1) = logm(2),
E2 = logm(2) + logm(3/2) = logm( (2)*(3/2) ) = logm(3),
E3 = logm(3) + logm(4/3) = logm( (3)*(4/3) ) = logm(4),
E4 = logm(4) + logm(5/4) = logm( (4)*(5/4) ) = logm(5),
y aquí ya puedes inferir:
Ek = logm(k+1),
por lo que tienes para la expresión de tu enunciado:
E = E99 = logm(99+1) = logm(100).
Luego, planteas el cambio a base diez en la expresión remarcada, y queda:
E = log(100) / log(m),
resuelves el numerador, reemplazas el valor de m que tienes en tu enunciado en el denominador, y queda:
E = 2 / log(102/7),
resuelves el denominador, y queda:
E = 2 / (2/7),
resuelves, y queda:
E = 7.
Espero haberte ayudado.
Sabemos que f(1)=2018
f(2)=[f(1)+f(2)]/2 => 2f(2)=f(1)+f(2) => f(2)=f(1)=2018
f(3)=[f(1)+f(2)+f(3)]/3 => 3f(3)=f(1)+f(2)+f(3) => 2f(3)=f(1)+f(2)=2·2018 =>f(3)= 2018
f(4)=[f(1)+f(2)+f(3)+f(4)]/4 => 4f(4)=f(1)+f(2)+f(3)+f(4) => 3f(4)=f(1)+f(2)+f(3)=3·2018 =>f(4)= 2018
f(5)=[f(1)+f(2)+f(3)+f(4)+f(5)]/5 => 5f(5)=f(1)+f(2)+f(3)+f(4)+f(5) => 4f(5)=f(1)+f(2)+f(3)+f(4)=4·2018 =>f(5)= 2018
por lo tanto, y aplicando inducción, si f(i)=2018 desde i=1 hasta i=n
tenemos que:
en este ejercicio realmente podría crear cualquier base mientas mantenga en el caso a que tengas la misma dirección y en el b que sea unitario y tenga la misma dirección uno de los vectores que utilice no?
podría por ejemplo en el apartado a usar (1,2,-1)(2,4,10)(-3,2,1) como base?? lo que he hecho a sido coger dos valores de x e y al azar para hallar z en cada uno de los vectores excepto en el primero que lo que mantenido para que mantenga la dirección
Es posible calcular los kilogramos que están dentro de un área específica, ejemplo,
Cuantos kilogramos hay dentro de un metro cúbico? Alguien por favor me puede ayudar?
Tienes que repasar la regla de la cadena. Mmmm en tu expresión algebraica tienes dos funciones: raiz cuadrada y arcosx. Si te das cuenta al derivar la raíz te da lo que tienes en el denominador. Y a ese resultado lo multiplicas por la derivada de arcosx. Es muy simple. Si quieres aprender más mira un vídeo de David.