Foro de preguntas y respuestas de Matemáticas

logo beUnicoos
Los foros de unicoos se han unificado en nuestra nueva plataforma beUnicoos. Para dejar nuevas preguntas deberás hacerlo allí, donde además podrás encontrar nuevas asignaturas y herramientas para ayudarte más con tus estudios.

  • icon

    Adela
    el 16/5/19

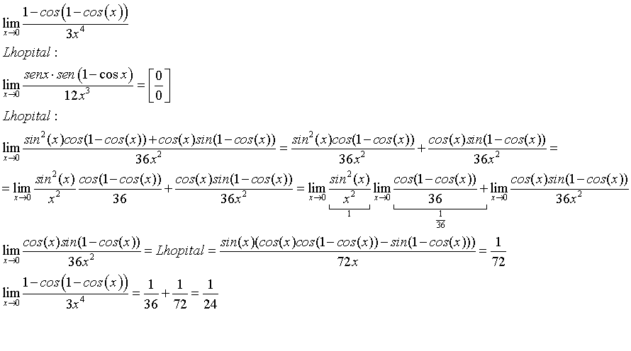
    Tengo el limite cuando x tiende a 0 de: 1-cos(1-cosx)/3x4 , da indeterminado, y creo que deberia de usar la propiedad del coseno en donde dice que si tienes 1-cos(u)≈u2/2, con u →0, podrían ayudarme, me he trancado en el procedimiento 

    replythumb_up0 voto/sflag
    icon

    César
    el 16/5/19

    Si podrias hacerlo así   o 

    thumb_up0 voto/sflag
  • icon

    Y3
    el 16/5/19

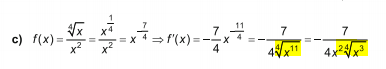
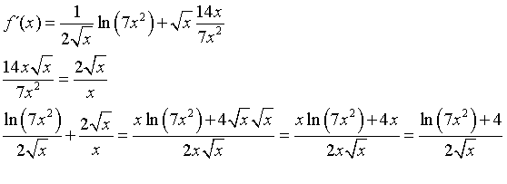
    No comprendo cómo se ha derivado el numerado, gracias 😅

    replythumb_up0 voto/sflag
    icon

    César
    el 16/5/19


    thumb_up0 voto/sflag
  • icon

    Y3
    el 16/5/19

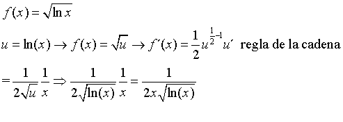
     Cómo sería este paso desarrollado? Gracias!

    replythumb_up0 voto/sflag
    icon

    César
    el 16/5/19


    thumb_up0 voto/sflag
  • icon

    Y3
    el 16/5/19

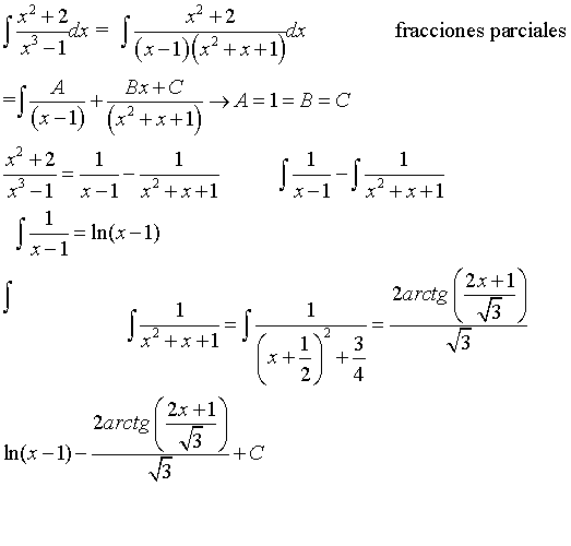
    Alguien conoce los pasos para averguar lo subrayado? Gracias 

    replythumb_up0 voto/sflag
    icon

    César
    el 16/5/19


    thumb_up0 voto/sflag
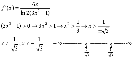
  • icon

    Y3
    el 16/5/19

    Alguien  se acuerda qué operación se hace aquí, gracias 

    replythumb_up0 voto/sflag
    icon

    Antonius Benedictus
    el 16/5/19

    Extraer factores del radical:  x^11=(x^2)^4 *x^3.

    thumb_up0 voto/sflag
  • icon

    Dm2000
    el 16/5/19


    replythumb_up0 voto/sflag
    icon

    César
    el 16/5/19


    thumb_up0 voto/sflag
  • icon

    Jose
    el 16/5/19
    flag

    Me ayudais?



    replythumb_up0 voto/sflag
    icon

    Breaking Vlad
    el 18/6/19

    Hola Jose,

    esta duda se sale de los contenidos de unicoos.

    thumb_up0 voto/sflag
  • icon

    Pichiclinas
    el 16/5/19

    No se como desarrollar el ejercicio 3, ayuda plis🙏🙏

    replythumb_up0 voto/sflag
    icon

    César
    el 16/5/19


    thumb_up0 voto/sflag
    icon

    César
    el 16/5/19

    A ver, el segundo triángulo no esta definido, solo se conoce un lado, por lo tanto no tiene solución o falta algún dato.

    thumb_up0 voto/sflag
  • icon

    Maria Cristina Aldea Quispe
    el 16/5/19

    Problemas verbales de multiplicación y división de números negativos¡La abuela Millie se está encogiendo! Su estatura decrece \dfrac{1}{4} \text{ cm}41​ cmstart fraction, 1, divided by, 4, end fraction, space, c, m cada año.¿Cuál será el cambio total en la estatura de la abuela Millie en 333 años?

    replythumb_up0 voto/sflag
    icon

    Berthin Alexander
    el 16/5/19

    Manda otra vez tu problema. Lo mandaste con códigos.

    thumb_up0 voto/sflag
  • icon

    Uriel Dominguez
    el 16/5/19

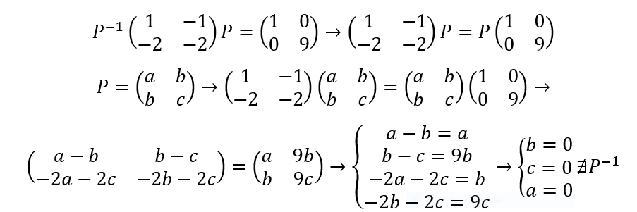
    Cuál sería el autoespacio si tengo solo estos datos? Teniendo en cuenta que P debe ser simétrica 

    replythumb_up0 voto/sflag
    icon

    Antonius Benedictus
    el 16/5/19

    Me temo que no existe P con esas condiciones:


    thumb_up1 voto/sflag