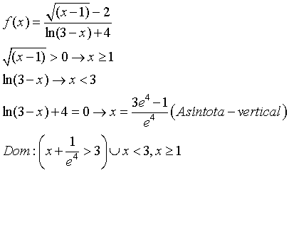
Hola quisiera confirmar si es correcto, me piden dominio, ceros, conjunto de positividad y negatividad y asíntota vertical.
Dominio: (-∞;1]
Conjunto de ceros {-3}
Conjunto de positividad {-∞;-3}
Conjunto de negatividad {-3;1}
Asíntota vertical no tiene
Desde ya muchas gracias
podrían ayudarme con la 4g mil gracias, no quiero ser pesada pero mi prof nod deje full ejercicios para demostrar y entre otras cosas lo que no puedo resolver lo público por este medio, mil gracias de antemano a las personas que se toman el tiempo de ayudarme, muchas gracias

Se trata de que DESPUES DE IR A CLASE (ver los vídeos relacionados con vuestras dudas) enviéis dudas concretas, muy concretas. Y que nos enviéis siempre también todo aquello que hayais conseguido hacer por vosotros mismos. Paso a paso, esté bien o mal. No solo el enunciado. De esa manera podremos saber vuestro nivel, en que podemos ayudaros, cuales son vuestros fallos.... Y el trabajo duro será el vuestro.

¡Hola! Nos encantaría ayudarte, pero no solemos responder dudas universitarias que no tengan que ver específicamente con los vídeos que David Calle ha grabado como excepción. O de otras asignaturas que no sean Matemáticas, Física y Química. Lo sentimos de corazón… Esperamos que lo entiendas.
Ojalá algún unicoo universitario se anime a ayudarte (de hecho, lo ideal es que todos los universitarios intentarais ayudaros los unos a los otros).

Observa que tienes un sistema de tres ecuaciones lineales de primer grado con dos incógnitas (x e y) con un coeficiente indeterminado (α).
Vamos con el método de sustitución.
Despejas y en la primera ecuación, y queda:
y = α - x (1).
Luego, sustituyes la expresión señalada (1) en la segunda ecuación de tu enunciado, y queda:
x - (α - x) = α, distribuyes el segundo término, y queda:
x - α + x = α, sumas α en ambos miembros, reduces términos semejantes, y queda:
2x = 2α, divides por 2 en ambos miembros, y queda:
x = α (2);
luego, sustituyes la expresión señalada (2) en la ecuación señalada (1), y queda:
y = α - α, resuelves el segundo miembro, y queda:
y = 0 (3).
Luego, sustituyes la expresión señalada (1) y el valor remarcado y señalado (3) en la tercera ecuación de tu enunciado, y queda:
-α + 2(0) = α + 1, resuelves el segundo término, y queda:
-α + 0 = α + 1, cancelas el término nulo en el primer miembro, y queda:
-α = α + 1, restas α en ambos miembros, y queda:
-2α = 1, divides por -2 en ambos miembros, y queda:
α = -1/2 (4);
luego, reemplazas el valor remarcado y señalado (4) en la ecuación señalada (2), y queda:
x = -1/2 (5).
Luego, a partir de los valores remarcados y señalados (3) (4) (5), tiene:
si el valor del coeficiente indeterminado es α = -1/2,
entonces el sistema de ecuaciones de tu enunciado es compatible determinado, y su solución única es:
x = -1/2,
y = 0.
Espero haberte ayudado.
Buenas tardes, tengo dudas en el problema siguiente:
En un congreso internacional se consideran oficiales tres idiomas: A, B y C. El 40% de los participantes domina el idioma A, el 36% domina el B, el 18%, el C, el 30% domina los idiomas A y B, el 14% domina los idiomas A y C, y el 12%, B y C. Finalmente, un 8% de los congresistas domina los tres idiomas . Entre los asistentes se selecciona una persona al azar. Calcula la probabilidad de que: a) Domine el idioma B pero no el C; b) Domine exactamente dos de los tres idiomas.
Muchas gracias.

Observa la figura, en la que hemos distribuido los porcentajes que tienes en tu enunciado,
y a su vez observa que tienes que el 54 % de los asistentes no domina ninguno de los idiomas oficiales.
a)
p( B y noC ) = ( 22 + 2 ) / 100 = 24/100 = 24 %.
b)
p( solo dos idiomas a la vez ) = ( 22 + 6 + 4 ) / 100 = 32/100 = 32 %.
Espero haberte ayudado.
en el ejercicio 2 el de hallar la funcion algebraica saque: 1) x<0, 2)no se que poner , 3)X>3, están bien?

Observa que tienes la gráfica de una función partida en tres trozos, cuyas representaciones son dos semirrectas y un segmento de recta intermedo.
Luego, tienes para cada tramo:
1°)
semirrecta cuyos puntos tienen todos la misma ordenada, por lo que su ecuación queda:
y = -3, con el intervalo de validez es: x ≤ 0;
2°)
segmento de recta inclinada, y esta recta pasa por los puntos: (0,-3) y (3,1),
por lo que su ordenada al origen es: b = -3, y su pendiente es: m = ( 1-(-3) )/(3-0) = 4/3,
por lo que su ecuación cartesiana explícita (y = mx+b) queda:
y = (4/3)x - 3, con el intervalo de validez: 0 < x ≤ 3;
3°)
semirrecta que pasa por los puntos: (3,1) y (4,0),
por lo que su pendiente es: m = (0-1)/(4-3) = -1/1 = -1,
y su ecuación cartesiana (y = m(x-x0)+y0) con el primero de los puntos como punto de referencia queda:
y = -(x-3)+1, distribuyes el primer término, reduces términos numéricos, y queda:
y = -x + 4, con el intervalo de validez: x > 3.
Luego, con todas las expresiones e intervalos remarcados, tienes que la expresión de la función queda:
f(x) =
-3 x ≤ 0,
(4/3)x - 3 0 < x ≤ 3,
-x + 4 x > 3.
Espero haberte ayudado.