Foro de preguntas y respuestas de Matemáticas

logo beUnicoos
Los foros de unicoos se han unificado en nuestra nueva plataforma beUnicoos. Para dejar nuevas preguntas deberás hacerlo allí, donde además podrás encontrar nuevas asignaturas y herramientas para ayudarte más con tus estudios.

  • icon

    cristina aguilar gallo
    el 10/5/19

    Otro igual que los anteriores  la mitad de los alumnos de una clase han aprobado en junio la cuarta parte en septiembre y 8 repiten curso. Cuantos alumnos hay? 

    replythumb_up0 voto/sflag
    icon

    César
    el 10/5/19


    thumb_up1 voto/sflag
  • icon

    cristina aguilar gallo
    el 10/5/19

    Hola otro igual que el de abajo si aparte de hacerlo me lo pudierais explicar para saber hacerlo lo agradecería mucho                        una madre tiene 28 años y su hijo 6 cuantos años han de transcurrir para que la edad de la madre sea el triple que la de su hijo? 

    replythumb_up0 voto/sflag
    icon

    César
    el 10/5/19


    thumb_up1 voto/sflag
  • icon

    cristina aguilar gallo
    el 10/5/19

    Hola si me pudierais ayudar con esta ecuación pero no solo poner la solución si no explicar como se hace para yo aprender os lo agradecería mucho la ecuación es esta.                  Compramos unos zapatos y unas botas por 11.920 patas. Si las botas cuestan el triple que los zapatos cual es el valor de cada uno?                    Por favor explicarme un poco como se tiene que hacer para yo aprender

    replythumb_up0 voto/sflag
    icon

    César
    el 10/5/19


    thumb_up1 voto/sflag
  • icon

    XIME
    el 10/5/19

     Debo de resolver el limite cuando x tiende a -2 de : In Ι3x+6Ι , el resultado me dio infinito, es esto correcto? 

    replythumb_up0 voto/sflag
    icon

    Antonius Benedictus
    el 10/5/19

    Es ln(0^+)=-infinito.


    thumb_up0 voto/sflag
  • Usuario eliminado
    el 10/5/19

    Hola, como seria el 28 c?

    replythumb_up0 voto/sflag
    icon

    Antonius Benedictus
    el 10/5/19


    thumb_up0 voto/sflag
  • icon

    Raul
    el 10/5/19

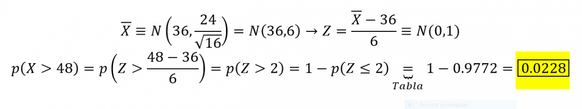
    Hola, estoy haciendo algunos problemas de probabilidad (2 bachillerato) y no se como resolver este apartado:


    replythumb_up0 voto/sflag
    icon

    César
    el 10/5/19


    thumb_up1 voto/sflag
    icon

    Antonius Benedictus
    el 10/5/19


    thumb_up1 voto/sflag
  • icon

    Dm2000
    el 10/5/19

    ¿Alguien podría poner ejercicios de ecuaciones matriciales del nivel de segundo de bachiller con soluciones?

    replythumb_up0 voto/sflag
  • icon

    Cinthia LV
    el 10/5/19

    podrían ayudarme con esto por favor, no entiendo como hacerlo :(

    replythumb_up0 voto/sflag
    icon

    Antonius Benedictus
    el 10/5/19


    thumb_up0 voto/sflag
    icon

    Cinthia LV
    el 10/5/19

    muchas gracias maestro, notable solucion! 

    thumb_up1 voto/sflag
  • icon

    Cinthia LV
    el 10/5/19

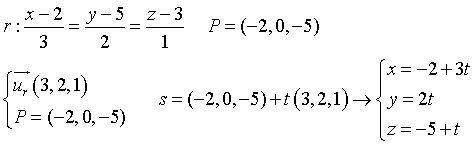
    ya halle el a=(3, 2,1) yP=(2, 5,3) me podrían guiar poe favor, se que es un problema sencillo pero aun tengo dificultades con el tema y ganas de aprender, mil gracias 

    replythumb_up0 voto/sflag
    icon

    César
    el 10/5/19


    thumb_up0 voto/sflag
  • Usuario eliminado
    el 10/5/19

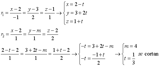
    Buenas profesor quería saber si me podría ayudar si los ejercicios que he hecho están bien.

    ( en el primer ejercicio a mi me sale que "las rectas se cortan")

    (Y la segunda  me sale que el área del paralelogramo es "raíz de 22") si no estan bien seria tan amable de resolverlos

    replythumb_up0 voto/sflag
    icon

    César
    el 10/5/19


    thumb_up0 voto/sflag

    Usuario eliminado
    el 10/5/19

    Ufff está bien pero falta el otro ejercicio...porfavor 

    thumb_up0 voto/sflag