Foro de preguntas y respuestas de Matemáticas

logo beUnicoos
Los foros de unicoos se han unificado en nuestra nueva plataforma beUnicoos. Para dejar nuevas preguntas deberás hacerlo allí, donde además podrás encontrar nuevas asignaturas y herramientas para ayudarte más con tus estudios.

  • icon

    Nicolas
    el 12/4/19

    Buenas tardes a todos me podrian ayudar a resolver los siguientes ejercicios, GRACIAAAASSS

    replythumb_up0 voto/sflag
    icon

    César
    el 12/4/19


    thumb_up0 voto/sflag
  • icon

    Yuka
    el 12/4/19

    ¿Alguien podría explicarme de dónde salen estos resultados? Es el 3 y el 4. Estuve un rato intentando encontrarle la lógica pero no lo conseguí.

    Gracias de antemano.


    replythumb_up0 voto/sflag
    icon

    César
    el 12/4/19

    Mas o menos con todos igual


    thumb_up0 voto/sflag
  • icon

    Alejandro
    el 12/4/19

    Me pueden ayudar con este problema por favor, gracias de antemano


    replythumb_up0 voto/sflag
    icon

    Antonio
    el 12/4/19

    Al foro de física!!!!

    thumb_up0 voto/sflag
  • icon

    Yuka
    el 12/4/19

    ¿Alguien podría explicarme la teoría o el porqué del (2), (4), (6), el segundo del (8) y el (9)?


    ¿Y podéis decirme cuánto da el (3), (10), (11), (12) y (13)? No sale en el libro en la parte de teoría, sino en los ejercicios.

    Y si hay más posibilidades, ¿podéis decirme cuáles son?


    Por favor, no me digáis que se sustituye la "L" por un número "<" o ">" que "0" o "1" y ya se obtiene el resultado. Lo que no entiendo es porqué sale 0 o infinito.


    Gracias de antemano.


    replythumb_up0 voto/sflag
    icon

    César
    el 12/4/19


    thumb_up0 voto/sflag
    icon

    Yuka
    el 12/4/19

    Perdona pero, ¿y el (10) y el (11)?

    thumb_up0 voto/sflag
  • icon

    Merche Valeiras
    el 12/4/19

    No sé resolver este sistema....

    replythumb_up0 voto/sflag
    icon

    Antonio
    el 12/4/19

    sustituye log x por nlog x por m

    con lo que te quedaría:

    2n-2m=-2

    n+m=3

    resuelve este nuevo sistema por el método indicado y te da:

    n=1

    m=2

    por lo que tenemos:

    log x = n = 1 => x=10 

    log y = m = 2 => y=100 


    thumb_up1 voto/sflag
    icon

    Merche Valeiras
    el 12/4/19

    Al resolver el sistema n me da 1/4 y no 1 como tu dices y m me da -11 con lo que los logaritmos no me dan !!!!!

    thumb_up0 voto/sflag
    icon

    Antonio
    el 13/4/19

    2n-2m=-2

    n+m=3


    multiplicamos la segunda por 2

    2n-2m=-2

    2n+2m=6


    sumamos

    4n=4


    despejamos

    n=1


    sustituimos

    1+m=3


    despejamos

    m=2


    thumb_up1 voto/sflag
  • icon

    jorge
    el 12/4/19

    Una empresa es especialista en la fabricación de un componente específico para smartphones. Su proceso productivo es de alta calidad y únicamente salen defectuosas el 0,02% de las piezas que producen.  
    Para homogeneizar el proceso de venta, únicamente vende las piezas en lotes de 2.000 productos. Están tan seguros de la calidad de su proceso productivo que, como política de garantía, les ofrecen a sus clientes la posibilidad de solicitar la devolución del importe del lote al completo si éste contiene más de 1 pieza defectuosa. 
    Sabiendo que esta empresa vende anualmente una media de 50.000 lotes a un precio por lote de 1.000€: 
     ¿Cuánto le cuesta anualmente a la empresa ofrecer esta política de garantía? 
    ¿Qué porcentaje de la facturación se pierde debido a esta política de garantía?

    replythumb_up0 voto/sflag
    icon

    Antonio
    el 12/4/19

    Sea X≡numero de piezas defectuosas en un lote

    X∼B(2000,0'0002)

    Calculemos P(x>1) pues es la probabilidad de rechazar un lote

    P(x>1)=1-[P(x=0)+P(x=1)]1-(0'6702+0.2681)=0'0617

    calculemos ahora el número de lotes rechazados

    0'0617*50000=3085

    y ahora el coste

    3085*1000=3085000€

    para la segunda pregunta calculamos la facturación total

    50000*1000=50000000€

    con lo que el porcentaje pedido es igual a 3085000/50000000=6'17%

    thumb_up0 voto/sflag
  • icon

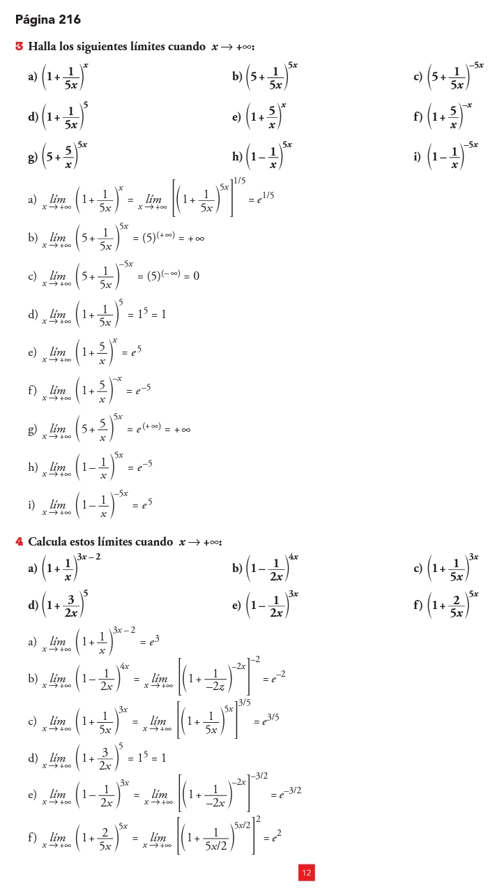
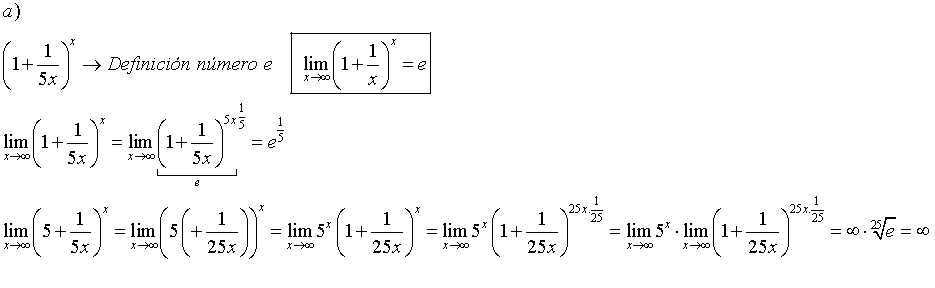
    Jose QG
    el 12/4/19

    Porfa ayuda con la resolución 

    replythumb_up0 voto/sflag
    icon

    Antonius Benedictus
    el 12/4/19


    thumb_up0 voto/sflag
    icon

    Antonius Benedictus
    el 12/4/19


    thumb_up1 voto/sflag
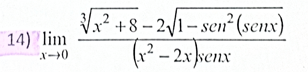
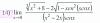
  • Usuario eliminado
    el 12/4/19

    Ayuda por favor !! Necesito resolverlo con la conjugada 


    replythumb_up0 voto/sflag
    icon

    Antonius Benedictus
    el 12/4/19

    Mejor por infinitésimos equivalentes: 



    thumb_up0 voto/sflag
  • icon

    lbp_14
    el 11/4/19

    Hola Unicoos

    La segunda derivada no sé por qué la tengo mal, no me da la solución. Me podrían ayudar

    Muchas gracias



    replythumb_up0 voto/sflag
    icon

    David
    el 12/4/19

    lo has hecho bien, hasta el paréntesis, donde 1/x por 2 debe salirte 2/x. ¿Ese es el resultado de la segunda derivada?

    thumb_up0 voto/sflag
  • Usuario eliminado
    el 11/4/19


    replythumb_up0 voto/sflag
    icon

    Antonius Benedictus
    el 12/4/19


    thumb_up1 voto/sflag