Foro de preguntas y respuestas de Matemáticas

logo beUnicoos
Los foros de unicoos se han unificado en nuestra nueva plataforma beUnicoos. Para dejar nuevas preguntas deberás hacerlo allí, donde además podrás encontrar nuevas asignaturas y herramientas para ayudarte más con tus estudios.

  • Usuario eliminado
    el 10/4/19

    Buenas, no sé como plantear el sistema para resolver este problema. Tienen que ser números enteros.

    Tres amigos, Juan, Ana y Esteban, fueron con sus tres nietos, Alejandro, Ester y Paloma, a un almacén de pistachos.

    Ante un saco de pistachos, el dueño les dijo:

    —Coged los que queráis.

    Cada uno de los seis metió la mano en el saco un número “n” de veces, y cada vez, se llevó “n” pistachos, (es decir, si uno de ellos metió la mano en el saco 7 veces, cada vez cogió 7 pistachos, y por tanto, se llevó 49 pistachos).

    Además, cada abuelo cogió, en total, 45 pistachos más que su nieto.

    Juan metió la mano 7 veces más que Paloma, y Alejandro 15 más que Esteban.

    a) ¿Cómo se llama el nieto de Juan? ¿Y el de Ana?

    b) ¿Cuántos pistachos se llevaron entre todos?


    replythumb_up0 voto/sflag
    icon

    Antonio
    el 10/4/19

    Sea x el número de veces que mete la mano un abuelo e y el número de veces que metió la mano su nieto.

    Cada uno de ellos se lleva un número de pistachos que es un cuadrado perfecto 

    Abuelo x2 pistachos y su nieto y2 pistachos

    Como sabemos que el abuelo se lleva 45 pistachos más que su nieto tenemos que:

    x2=y2+45

    Por lo que tenemos que:

    x2 – y2 = 45 (x + y) (x – y) = 45

    (Aplicando que suma por diferencia es igual a diferencia de cuadrados)

     

    Tenemos, por tanto, que el producto de dos números naturales igual a 45. Esto solamente ocurre en los siguientes casos:

     

    9×5

    15x3

    45x1

    (Fíjate que los divisores de 45 son: 1, 3, 5, 9, 15 y 45)

     

    1er caso: 9×5

    (x + y) (x – y) = 45

    x+y=9

    x–y=5

    Resolviendo el sistema tenemos que: x=7 e y=2

    Esto significa que un abuelo cogió 7 puñados de 7 pistachos (49 pistachos en total) y su nieto, 2 puñados de 2 pistachos (4 pistachos en total)

     

    2o caso: 15 ×3

    (x + y) (x – y) = 45

    x + y = 15 

    x-y=3

    Resolviendo el sistema tenemos que: x = 9 e y = 6

    Esto significa que otro de los abuelos cogió 9 puñados de 9 pistachos (81 pistachos) y su nieto, 6 puñados de 6 pistachos (36 pistachos en total)

     

    3er caso: 45×1

    (x + y) (x – y) = 45

    x + y = 45

    x – y = 1

    Resolviendo el sistema tenemos que: x = 23 e y = 22

    Esto significa que otro de los abuelos cogió 23 puñados de 23 pistachos (529 pistachos) y su nieto, 22 puñados de 22 pistachos (484 pistachos en total)

     

    Tenemos, por tanto, que los abuelos han cogido 7, 9 y 23 veces y los nietos 2, 6 y 22 veces respectivamente.

     

    Además como sabemos que Juan metió la mano 7 veces más que Paloma deducimos que Juan cogió 9 puñados y Paloma 2 puñados;

    y como Alejandro 15 más que Esteban, Alejandro cogió 22 veces y Esteban 7

     

    Ahora sabemos que:

    Juan coge 9 puñados y Ester 6

    Ana coge 23 puñados y Alejandro 22

    Esteban coge 7 puñados y Paloma 2

     

    La nieta de Juan se llama Ester, el de Ana se llama Alejandro y la de Esteban se llama Paloma.

    Por último, el número total de pistachos que se llevaron entre todos será igual a:

    81 + 36 + 529 + 484 + 49 + 4 = 1183 pistachos

     

     

    thumb_up1 voto/sflag
  • icon

    dAmian
    el 10/4/19

    hola tengo ahora examen y mi duda es de esta grafica, ¿cómo saco de aqui el dominio y las asíntotas? Porque sé calcularlas pero no sé sacarlas al ver una grafica.

    replythumb_up0 voto/sflag
    icon

    Antonius Benedictus
    el 10/4/19

    La recta vertical (asíntota) es x=-1. Por ello, el dominio es R excepto -1.

    La recta oblicua tiene pendiente 1 y pasa por (0,0). Es:  y-0=1(x-0), o sea:  y=x.

    thumb_up0 voto/sflag
  • icon

    vic
    el 10/4/19

    2- Una empresa recién establecida en territorio nacional desea saber el conocimiento que tiene la población española sobre la misma para valorar cómo deben ser sus campañas de publicidad y cuánto presupuesto deben dedicarles. Para ello, se recoge una muestra de 160 individuos entre los cuales 29 afirman conocer la marca. a) Calcula un intervalo de confianza al 99% para la proporción poblacional de habitantes que conocen a la empresa mencionada. b) ¿Qué tamaño muestral deberíamos escoger para reducir el error al 3%? c) Si para alcanzar el error especificado en el apartado b) decidimos no aumentar el tamaño muestral y alterar la confianza del intervalo, ¿qué nivel de confianza tendría dicho intervalo? Argumenta brevemente si consideras adecuada esta medida.

    replythumb_up0 voto/sflag
    icon

    Antonius Benedictus
    el 10/4/19

  • icon

    Fanboss04
    el 10/4/19

    calcula el área total

    replythumb_up0 voto/sflag
    icon

    César
    el 10/4/19

    El otro inténtalo  tú.


    thumb_up0 voto/sflag
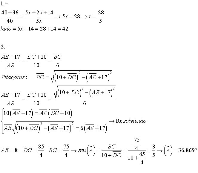
  • icon

    Vladimir Gonzalez
    el 10/4/19

    Me puende ayudar son problemas del teorema de tales 

    replythumb_up0 voto/sflag
    icon

    César
    el 10/4/19


    thumb_up1 voto/sflag
  • icon

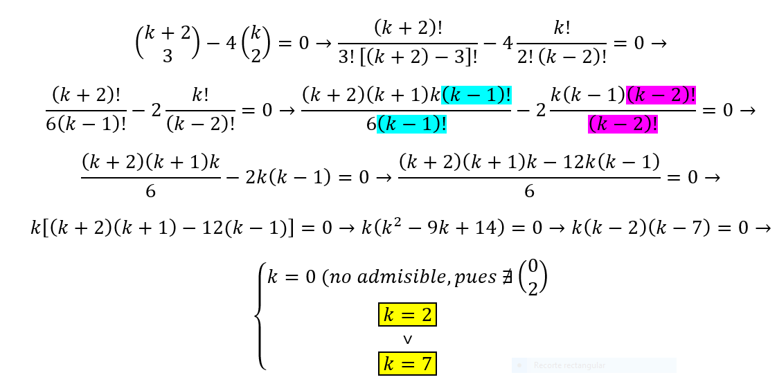
    Dario
    el 10/4/19

    buenas noches podrian ayudame con este punto no logro realizar las igualaciones, desde ya gracias!!!

    .


    replythumb_up0 voto/sflag
    icon

    Antonius Benedictus
    el 10/4/19


    thumb_up1 voto/sflag
  • icon

    Pepito
    el 10/4/19

    Buenas noches, ¿podrían ayudarme con este problema? Gracias por adelantado.

    Un tren sale de una estación con un cierto número de viajeros. En la primera parada bajan la cuarta parte de los viajeros, en la segunda bajan los 2/3 de los que siguen el viaje, llegando a la estación final 30 viajeros. ¿Cuántos iniciaron el viaje?

    replythumb_up0 voto/sflag
    icon

    Fanboss04
    el 10/4/19

    La respuesta es 120:si se van dos tercios y te quedan 30 significa que tenías 90 y si en la primera parada de fueron un cuarto y te quedaron 90 significa que empezaste con 120

    thumb_up1 voto/sflag
    icon

    Antonius Benedictus
    el 10/4/19


    thumb_up1 voto/sflag
  • icon

    Paloma
    el 9/4/19

    Buenas noches, ¿podríais ayudarme con este ejercicio? 

    Muchas gracias de antemano. 

    replythumb_up0 voto/sflag
    icon

    Antonius Benedictus
    el 10/4/19


    thumb_up0 voto/sflag
    icon

    Paloma
    el 10/4/19

    Muchísimas gracias, hacéis una labor increíble. 🤗

    thumb_up1 voto/sflag
  • icon

    dAmian
    el 9/4/19

    Hola unicoos tengo una duda con las funciones a trozos con los símbolos de mayor, menos, mayor/menor igual que sobre como se yo exactamente que símbolo debo de usar. Gracias

    replythumb_up0 voto/sflag
    icon

    Antonius Benedictus
    el 10/4/19