Foro de preguntas y respuestas de Matemáticas

logo beUnicoos
Los foros de unicoos se han unificado en nuestra nueva plataforma beUnicoos. Para dejar nuevas preguntas deberás hacerlo allí, donde además podrás encontrar nuevas asignaturas y herramientas para ayudarte más con tus estudios.

  • icon

    Alberto
    el 11/4/19

  • icon

    lbp_14
    el 11/4/19

    Hola Unicoos.

    Dice: calcular a y b par que f sea continua y derivable en todo R .

    No consigo definir ese valor absoluto, me podrían ayudar

    Muchas gracias


    replythumb_up0 voto/sflag
    icon

    Antonio
    el 11/4/19

    ΙxΙ<2 es lo mismo que -2<x<2 o (-2,2)

    ΙxΙ2 es lo mismo que x-2 ^ x2 o (-,-2]U[2,+)


    thumb_up0 voto/sflag
  • icon

    dAmian
    el 11/4/19

    Hola me podrían ayudar a sacar la expresión algebraica de este ejercicio por favor??

    replythumb_up0 voto/sflag
    icon

    Antonio
    el 11/4/19

    Si p(d) es la expresión que nos pide donde p es la población y d el tiempo en días,

    entonces:

    p(d)=200*1'03d

    thumb_up0 voto/sflag
  • icon

    Pepito
    el 11/4/19

    ¿Cómo se resolvería x^2/ 5 = √X-1 ? (La raíz solo afecta a la X.

    Gracias

    replythumb_up0 voto/sflag
    icon

    Antonius Benedictus
    el 11/4/19

    Queda una ecuación de 4º grado con dos soluciones complejas.

    La resolución de este tipo de ecuaciones excede los objetivos de esta página.

    thumb_up0 voto/sflag
  • icon

    Jose
    el 11/4/19

    Estoy bastante perdido con este ejercicio, alguien me ayuda?



    replythumb_up0 voto/sflag
    icon

    Antonius Benedictus
    el 11/4/19


    thumb_up0 voto/sflag
    icon

    Antonius Benedictus
    el 11/4/19


    thumb_up0 voto/sflag
    icon

    Antonius Benedictus
    el 11/4/19


    thumb_up0 voto/sflag
    icon

    Antonius Benedictus
    el 11/4/19


    thumb_up0 voto/sflag
    icon

    Antonius Benedictus
    el 11/4/19


    thumb_up0 voto/sflag
  • icon

    Xavi Gomez
    el 11/4/19

    Hola a todos compañeros!! os habla un cuasiingeniero informático al que le falta, adivinad que, aprobar cálculo de primer año... entre otras cosas Limites, Derivadas e integrales. Mi pregunta sería:

    Poneos en el lugar de alguien que no tiene la base de matemáticas de bachiller , que creeis que necesito mirarme para aprender a hacer derivadas, integrales, límites... se que necesito coger base, estoy acudiendo a clases particulares y hemos visto los radicales. 

    Aconsejadme cosas para ir avanzando por mi cuenta por favor. Se que necesito una gran base, pero si no se por donde empezar no sabré que es mas necesario para mi objetivo, ya que aprobé otras cosas como algebra y física pero no sirven para nada de esto.

    Espero vuestra ayuda. Gracias.

    replythumb_up0 voto/sflag
    icon

    César
    el 11/4/19

    thumb_up0 voto/sflag
  • icon

    aleix moscoso
    el 11/4/19

    necesito este caso de estadística para aprobar un trabajo si alguien me puede ayudar;

    Una empresa es especialista en la fabricación de un componente específico parasmartphones. Su proceso productivo es de alta calidad y únicamente salen defectuosas el0,02% de las piezas que producen.

    Para homogeneizar el proceso de venta, únicamente vende las piezas en lotes de 2.000 productos. Están tan seguros de la calidad de su proceso productivo que, como política de garantía, les ofrecen a sus clientes la posibilidad de solicitar la devolución del importe del lote al completo si éste contiene más de 1 pieza defectuosa.

    Sabiendo que esta empresa vende anualmente una media de 50.000 lotes a un precio porlote de 1.000€:

    ¿Cuánto le cuesta anualmente a la empresa ofrecer esta política de garantía? ¿Qué porcentaje de la facturación se pierde debido a esta política de garantía?

    replythumb_up0 voto/sflag
    icon

    Antonio
    el 11/4/19

    Sea X≡numero de piezas defectuosas en un lote

    X∼B(2000,0'0002)

    Calculemos P(x>1) pues es la probabilidad de rechazar un lote

    P(x>1)=1-[P(x=0)+P(x=1)]1-(0'6702+0.2681)=0'0617

    calculemos ahora el número de lotes rechazados

    0'0617*50000=3085

    y ahora el coste

    3085*1000=3085000€

    para la segunda pregunta calculamos la facturación total

    50000*1000=50000000€

    con lo que el porcentaje pedido es igual a 3085000/50000000=6'17%


    thumb_up0 voto/sflag
  • icon

    Cristian Hernandez
    el 11/4/19

    Hola!  Si tengo un dato de que en una ciudad X, hay 450 habitantes por 1 km2 ( 450/km2) -  En el caso de que yo caminara por esa ciudad, cómo hago para saber o contar cuantas personas podría ver si camino 1 km lineal en esa ciudad?  Otra idea es:  Si paso con un vehículo y recorro solo 1 km de esa ciudad, cuantas personas se estiman podrían haberme visto sabiendo el dato anterior ? 
    Gracias

    replythumb_up0 voto/sflag
    icon

    César
    el 11/4/19

    Imposible determinarlo con esas premisas.


    thumb_up0 voto/sflag
  • icon

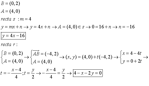
    David sanchez gil
    el 11/4/19

    Y esta está bien??

    replythumb_up0 voto/sflag
    icon

    César
    el 11/4/19

    No veo nada claro el enunciado, imagina que la recta  s es también  paralela al eje X.

    No habría triángulo alguno.

    thumb_up1 voto/sflag
  • icon

    David sanchez gil
    el 11/4/19

    Necesito saber si tengo bien las soluciones!!

    replythumb_up0 voto/sflag
    icon

    César
    el 11/4/19

    En el 2, no se cita la recta s


    thumb_up1 voto/sflag